| 查看: 902 | 回复: 6 | ||
[求助]
利用极值原理推导出真空中的Maxwell方程 已有2人参与
|
|
第五题。 发自小木虫Android客户端 |
» 猜你喜欢
化工学硕294分,求导师收留
已经有29人回复
求调剂
已经有10人回复
考研求调剂
已经有13人回复
求调剂
已经有3人回复
人工智能320调剂08工类还有机会吗
已经有17人回复
考研英一数一338分
已经有10人回复
求助调剂,跨调
已经有15人回复
085600材料与化工329分求调剂
已经有20人回复
085600材料与化工349分求调剂
已经有15人回复
求调剂
已经有13人回复
» 本主题相关价值贴推荐,对您同样有帮助:
夕阳西下
金虫 (著名写手)
- 物理EPI: 2
- 应助: 138 (高中生)
- 贵宾: 0.041
- 金币: 9247.1
- 散金: 73
- 红花: 28
- 沙发: 1
- 帖子: 1268
- 在线: 1164.4小时
- 虫号: 220750
- 注册: 2006-03-20
- 专业: 凝聚态物性 II :电子结构
- 管辖: 物理
2楼2016-01-02 11:25:36
3楼2016-01-02 13:41:52
【答案】应助回帖
★ ★ ★ ★ ★ ★ ★ ★ ★ ★ ★ ★ ★ ★ ★ ★ ★ ★ ★ ★ ★ ★ ★ ★ ★ ★ ★ ★ ★ ★ ★ ★ ★ ★ ★ ★ ★ ★ ★ ★ ★ ★ ★ ★ ★ ★ ★ ★ ★ ★ ★ ★ ...
感谢参与,应助指数 +1
江蝈蝈: 金币+100, ★★★★★最佳答案 2016-01-03 15:44:23
感谢参与,应助指数 +1
江蝈蝈: 金币+100, ★★★★★最佳答案 2016-01-03 15:44:23
|
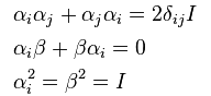
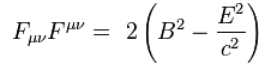
https://en.wikipedia.org/wiki/Electromagnetic_tensor ??????@??: ??????????????F_uv ?е?λ??A_v (v=0,1,2,3)??????????????????????????P??3????????????? (????????????W??????) ???????????????? ???????u??? ???Fuv?????? partial/partia_0 ?????????r?g????K????C |
4楼2016-01-03 15:19:15
5楼2016-01-03 15:31:03
6楼2016-01-03 15:43:55
7楼2016-01-04 04:50:17














回复此楼