²é¿´: 1888  |  »Ø¸´: 5
µ±Ç°Ö»ÏÔʾÂú×ãÖ¸¶¨Ìõ¼þµÄ»ØÌû£¬µã»÷ÕâÀï²é¿´±¾»°ÌâµÄËùÓлØÌû

dodonaomik

гæ (СÓÐÃûÆø)

[½»Á÷] The national entrance examination for postgraduate.(NEEP)~~~~Êýѧ1´ó´®ÉÕ


½ñÄ꣬¿¼ÑÐÊýѧͦÄÑ
ÎÒÏë
ÔÚÕâ¸öÌù×ÓÀÏëÒ»Ò»ÍÆÑÝÒ»±é
µ«Ë®Æ·£¬ÄÇÊÇÏ൱ÓÐÏÞ
ËùÒÔ£¬Ï£ÍûµÃµ½ÖîλµÄÔ®Öú¡¢Ö¸µã¡¢µã²¦ºÍ°ïÖú£¬ÓÈÆäÊǽâÌâ˼·¡¢¼¼Çɺ;÷ÇÏ·½ÃæµÄ
»Ø¸´´ËÂ¥

» ²ÂÄãϲ»¶

» ±¾Ö÷ÌâÏà¹ØÉ̼ÒÍÆ¼ö: (ÎÒÒ²ÒªÔÚÕâÀïÍÆ¹ã)

» ±¾Ö÷ÌâÏà¹Ø¼ÛÖµÌùÍÆ¼ö£¬¶ÔÄúͬÑùÓаïÖú:

ÈËÒ»ÇеÄÍ´¿à£¬±¾ÖÊÉ϶¼ÊǶÔ×Ô¼ºÎÞÄܵķßÅ­
ÒÑÔÄ   »Ø¸´´ËÂ¥   ¹Ø×¢TA ¸øTA·¢ÏûÏ¢ ËÍTAºì»¨ TAµÄ»ØÌû

dodonaomik

гæ (СÓÐÃûÆø)

µÚ¶þÌ⣬ºÃÏñ·Ç³£jabberwockyºÇºÇ£¬¿´Ò»Ï°É
The national entrance examination for postgraduate.(NEEP)~~~~Êýѧ1´ó´®ÉÕ
1111.jpg

ÈËÒ»ÇеÄÍ´¿à£¬±¾ÖÊÉ϶¼ÊǶÔ×Ô¼ºÎÞÄܵķßÅ­
3Â¥2016-01-01 15:30:04
ÒÑÔÄ   »Ø¸´´ËÂ¥   ¹Ø×¢TA ¸øTA·¢ÏûÏ¢ ËÍTAºì»¨ TAµÄ»ØÌû
²é¿´È«²¿ 6 ¸ö»Ø´ð

dodonaomik

гæ (СÓÐÃûÆø)

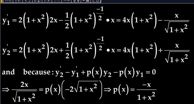
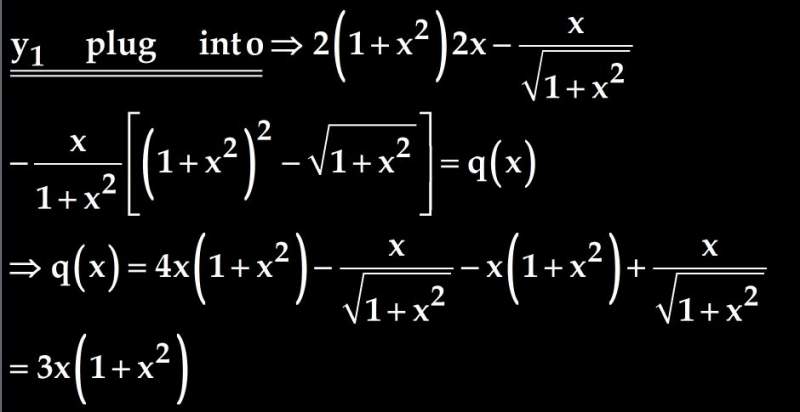
µÚÒ»Ìâ

»òÐí¿ÉÒÔÓÃ
Abel  discriminance
or
Dirichlet  discriminance
µ«ÎÒ²»»áÓÃ
´ó¼Ò£¬ÓиüºÃµÄ°ì·¨£¬ÍûÌṩ
The national entrance examination for postgraduate.(NEEP)~~~~Êýѧ1´ó´®ÉÕ-1
½ØÍ¼04.jpg

ÈËÒ»ÇеÄÍ´¿à£¬±¾ÖÊÉ϶¼ÊǶÔ×Ô¼ºÎÞÄܵķßÅ­
2Â¥2016-01-01 15:27:49
ÒÑÔÄ   »Ø¸´´ËÂ¥   ¹Ø×¢TA ¸øTA·¢ÏûÏ¢ ËÍTAºì»¨ TAµÄ»ØÌû

dodonaomik

гæ (СÓÐÃûÆø)

µÚÈýµÀÌâ
The national entrance examination for postgraduate.(NEEP)~~~~Êýѧ1´ó´®ÉÕ-2
K000.JPG


The national entrance examination for postgraduate.(NEEP)~~~~Êýѧ1´ó´®ÉÕ-3
K111.jpg


The national entrance examination for postgraduate.(NEEP)~~~~Êýѧ1´ó´®ÉÕ-4
K222.jpg

ÈËÒ»ÇеÄÍ´¿à£¬±¾ÖÊÉ϶¼ÊǶÔ×Ô¼ºÎÞÄܵķßÅ­
4Â¥2016-01-01 22:01:25
ÒÑÔÄ   »Ø¸´´ËÂ¥   ¹Ø×¢TA ¸øTA·¢ÏûÏ¢ ËÍTAºì»¨ TAµÄ»ØÌû

dodonaomik

гæ (СÓÐÃûÆø)


¿¼²ì1,2Àà¼ä¶Ïµã£¬Êµ¼ÊÉÏû¿¼²ìËýÃÇ
¢Ùjump discontinuity point
removable  discontinuity   point

¢Ú
oscillating discontinuity  point
infinite   discontinuity  point
The national entrance examination for postgraduate.(NEEP)~~~~Êýѧ1´ó´®ÉÕ-5
111.jpg


The national entrance examination for postgraduate.(NEEP)~~~~Êýѧ1´ó´®ÉÕ-6
222.jpg


The national entrance examination for postgraduate.(NEEP)~~~~Êýѧ1´ó´®ÉÕ-7
333.jpg


The national entrance examination for postgraduate.(NEEP)~~~~Êýѧ1´ó´®ÉÕ-8
444.JPG

ÈËÒ»ÇеÄÍ´¿à£¬±¾ÖÊÉ϶¼ÊǶÔ×Ô¼ºÎÞÄܵķßÅ­
5Â¥2016-01-02 15:25:47
ÒÑÔÄ   »Ø¸´´ËÂ¥   ¹Ø×¢TA ¸øTA·¢ÏûÏ¢ ËÍTAºì»¨ TAµÄ»ØÌû
×î¾ßÈËÆøÈÈÌûÍÆ¼ö [²é¿´È«²¿] ×÷Õß »Ø/¿´ ×îºó·¢±í
[¿¼ÑÐ] ¿¼Ñе÷¼Á +3 ºôºô£¿~+123456 2026-03-21 3/150 2026-03-21 20:04 by Î޼ʵIJÝÔ­
[¿¼ÑÐ] Çóµ÷¼Á +3 13341 2026-03-20 3/150 2026-03-21 18:28 by ѧԱ8dgXkO
[¿¼ÑÐ] 0703»¯Ñ§297Çóµ÷¼Á +3 Daisy¡î 2026-03-20 3/150 2026-03-21 17:45 by ColorlessPI
[¿¼ÑÐ] 313Çóµ÷¼Á +4 ËÁÈþ·¡Ò¼22 2026-03-19 4/200 2026-03-21 17:33 by ColorlessPI
[¿¼ÑÐ] Çóµ÷¼Á +3 .m.. 2026-03-21 4/200 2026-03-21 16:25 by barlinike
[¿¼ÑÐ] 279Çóµ÷¼Á +5 ºìÒÂÒþ¹Ù 2026-03-21 5/250 2026-03-21 14:59 by lature00
[¿¼ÑÐ] 316Çóµ÷¼Á +6 ÁºÜçö© 2026-03-19 6/300 2026-03-21 06:32 by Ecowxq666£¡
[¿¼ÑÐ] Çóµ÷¼Á +3 Ma_xt 2026-03-17 3/150 2026-03-21 02:05 by JourneyLucky
[¿¼ÑÐ] 321Çóµ÷¼Á +9 ºÎÈó²É123 2026-03-18 11/550 2026-03-20 23:19 by JourneyLucky
[¿¼ÑÐ] 085600²ÄÁÏÓ뻯¹¤ +8 °²È«Éϰ¶£¡ 2026-03-16 8/400 2026-03-20 22:13 by luoyongfeng
[¿¼ÑÐ] ÖÐÄÏ´óѧ»¯Ñ§Ñ§Ë¶337Çóµ÷¼Á +3 niko- 2026-03-19 6/300 2026-03-20 21:58 by luoyongfeng
[¿¼ÑÐ] Ò»Ö¾Ô¸¼ªÁÖ´óѧ²ÄÁÏѧ˶321Çóµ÷¼Á +11 Ymlll 2026-03-18 15/750 2026-03-20 19:40 by ¶¡¶¡*
[¿¼ÑÐ] 261ÇóBÇøµ÷¼Á£¬¿ÆÑо­Àú·á¸» +3 Å£Ä̺Üæ 2026-03-20 4/200 2026-03-20 19:34 by JourneyLucky
[¿¼ÑÐ] Çóµ÷¼Á +3 °µÓ¿afhb 2026-03-16 3/150 2026-03-20 00:28 by ºÓÄÏ´óѧУÓÑ
[¿¼ÑÐ] 320Çóµ÷¼Á0856 +3 ²»ÏëÆðÃû×Ö112 2026-03-19 3/150 2026-03-19 22:53 by ѧԱ8dgXkO
[¿¼ÑÐ] 0703»¯Ñ§µ÷¼Á +4 18889395102 2026-03-18 4/200 2026-03-19 16:13 by 30660438
[¿¼ÑÐ] 085601²ÄÁϹ¤³Ìר˶Çóµ÷¼Á +10 Ľº®mio 2026-03-16 10/500 2026-03-19 15:26 by ¶¡¶¡*
[¿¼ÑÐ] 344Çóµ÷¼Á +6 knight344 2026-03-16 7/350 2026-03-18 20:13 by walc
[¿¼ÑÐ] 334Çóµ÷¼Á +3 Ö¾´æ¸ßÔ¶ÒâÔÚ»úÐ 2026-03-16 3/150 2026-03-18 08:34 by lm4875102
[¿¼ÑÐ] 085601Çóµ÷¼Á +4 Du.11 2026-03-16 4/200 2026-03-17 17:08 by ruiyingmiao
ÐÅÏ¢Ìáʾ
ÇëÌî´¦ÀíÒâ¼û