| 查看: 2057 | 回复: 6 | |||
维特的日记木虫 (小有名气)
|
[求助]
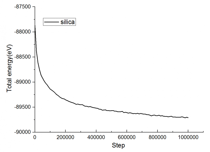
二氧化硅包裹烷烃的核壳结构模拟温度和能量不守恒问题 已有1人参与
|
||
|
|
|||
fuhuidong铁杆木虫 (知名作家)
|
|||
![]() |
|||
|
2楼2015-12-26 21:55:34
|
|
||
维特的日记木虫 (小有名气)
|
|||
|
3楼2015-12-26 22:11:45
|
|
||
fuhuidong铁杆木虫 (知名作家)
|
|||
![]() |
|||
|
4楼2015-12-27 09:51:54
|
|
||
Liupeng-MD新虫 (小有名气)
|
|||
|
5楼2018-01-18 23:54:44
|
|
||
brucefan专家顾问 (著名写手)
|
|||
|
6楼2018-01-19 00:23:47
|
|
||
|
7楼2019-03-25 21:06:11
|
|














回复此楼

