| 查看: 1067 | 回复: 11 | |||
背靠背看日落金虫 (小有名气)
|
[求助]
级数求助已有4人参与
|
||
|
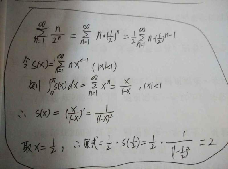
如题,求数项级数的和。大神们可不可以把步骤给出的详细些呢,好作参考。谢谢了。 发自小木虫Android客户端 |
» 猜你喜欢
真诚求助:手里的省社科项目结项要求主持人一篇中文核心,有什么渠道能发核心吗
已经有8人回复
寻求一种能扛住强氧化性腐蚀性的容器密封件
已经有5人回复
论文投稿,期刊推荐
已经有6人回复
请问哪里可以有青B申请的本子可以借鉴一下。
已经有4人回复
孩子确诊有中度注意力缺陷
已经有14人回复
请问下大家为什么这个铃木偶联几乎不反应呢
已经有5人回复
请问有评职称,把科研教学业绩算分排序的高校吗
已经有5人回复
2025冷门绝学什么时候出结果
已经有3人回复
天津工业大学郑柳春团队欢迎化学化工、高分子化学或有机合成方向的博士生和硕士生加入
已经有4人回复
康复大学泰山学者周祺惠团队招收博士研究生
已经有6人回复
kindy789456
新虫 (著名写手)
- 应助: 2 (幼儿园)
- 金币: 4497.5
- 红花: 5
- 帖子: 2738
- 在线: 67.2小时
- 虫号: 4297481
- 注册: 2015-12-19
- 性别: MM
- 专业: 凝聚态物性 II :电子结构
4楼2015-12-21 11:01:24
bluesine
铁杆木虫 (职业作家)
科苑小木虫
- 数学EPI: 5
- 应助: 132 (高中生)
- 贵宾: 1.991
- 金币: 9496.3
- 散金: 89
- 红花: 19
- 帖子: 3534
- 在线: 363.8小时
- 虫号: 869544
- 注册: 2009-10-12
- 性别: GG
- 专业: 数学物理

2楼2015-12-21 10:23:22
wurongjun
专家顾问 (职业作家)
-

专家经验: +831 - 数学EPI: 9
- 应助: 791 (博后)
- 贵宾: 0.308
- 金币: 24607.5
- 散金: 310
- 红花: 75
- 帖子: 3004
- 在线: 881.2小时
- 虫号: 1368482
- 注册: 2011-08-14
- 性别: GG
- 专业: 计算数学与科学工程计算
- 管辖: 数学

3楼2015-12-21 10:50:50
5楼2015-12-21 11:07:51
背靠背看日落
金虫 (小有名气)
- 应助: 1 (幼儿园)
- 金币: 1084.2
- 散金: 170
- 帖子: 246
- 在线: 87.4小时
- 虫号: 3755538
- 注册: 2015-03-21
- 性别: GG
- 专业: 遥感机理与方法
6楼2015-12-21 11:53:05
背靠背看日落
金虫 (小有名气)
- 应助: 1 (幼儿园)
- 金币: 1084.2
- 散金: 170
- 帖子: 246
- 在线: 87.4小时
- 虫号: 3755538
- 注册: 2015-03-21
- 性别: GG
- 专业: 遥感机理与方法
7楼2015-12-21 11:53:25
背靠背看日落
金虫 (小有名气)
- 应助: 1 (幼儿园)
- 金币: 1084.2
- 散金: 170
- 帖子: 246
- 在线: 87.4小时
- 虫号: 3755538
- 注册: 2015-03-21
- 性别: GG
- 专业: 遥感机理与方法
8楼2015-12-21 11:53:50
liuqh
铁杆木虫 (正式写手)
- 数学EPI: 1
- 应助: 155 (高中生)
- 贵宾: 0.263
- 金币: 8156.6
- 散金: 1307
- 红花: 16
- 沙发: 1
- 帖子: 495
- 在线: 1778.3小时
- 虫号: 107628
- 注册: 2005-11-17
- 性别: GG
9楼2015-12-21 12:07:00
遥控小丑
金虫 (正式写手)
- 应助: 30 (小学生)
- 金币: 1688.9
- 红花: 12
- 帖子: 828
- 在线: 113.3小时
- 虫号: 4013449
- 注册: 2015-08-09
- 性别: GG
- 专业: 计算机科学

10楼2015-12-21 12:48:08













回复此楼