| 查看: 1421 | 回复: 4 | ||
[求助]
关于EPR/ESR谱图是否存在Ti3+和Nb4+信号问题 已有1人参与
|
|
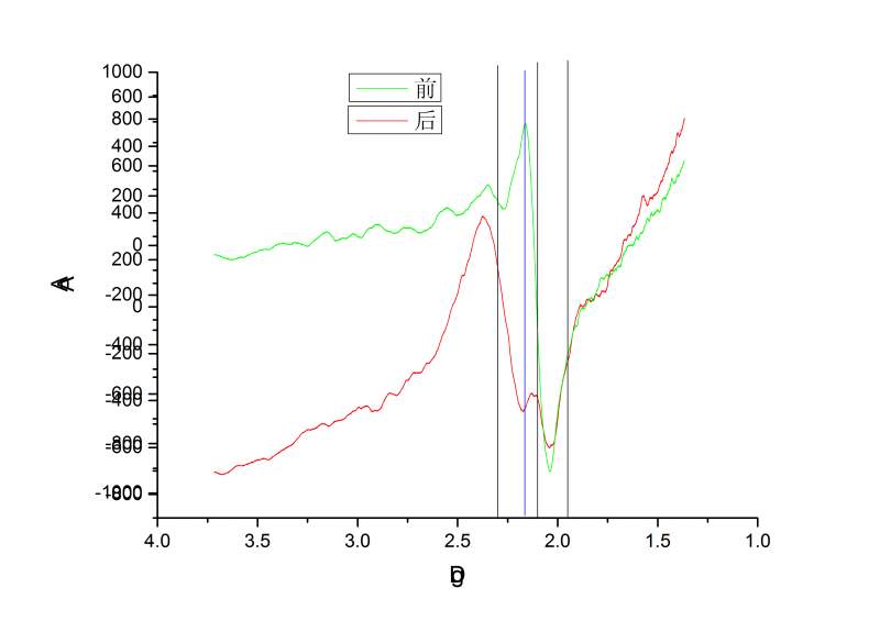
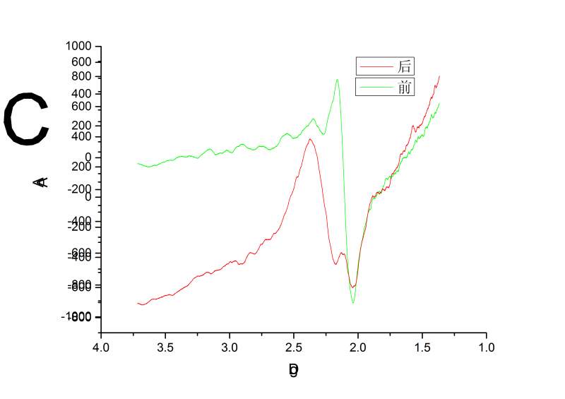
大家好,在此咨询下有关EPR/ESR谱图的问题,如下面的谱图(样品中含有Rb,Ti,O,P,Nb,Yb),前后的变化能说明什么?是否可以在后的谱线可以观察到Ti3+和Nb4+的信号?又没有相应的文献。请不吝赐教。谢谢 谱图.jpg 谱图1.jpg |
» 猜你喜欢
广州大学大湾区环境研究院环境大分子材料研究所王平山教授团队 2026年研究生招生简章
已经有0人回复
天津理工大学
已经有0人回复
无机化学论文润色/翻译怎么收费?
已经有289人回复
台州学院有序多孔材料团队最后冲刺,同学们别错过哦,请速联系!
已经有0人回复
江西科技师范大学物理化学课题组接收调剂生,名额还有,速来
已经有0人回复
求碳酸钠和碳酸氢钠的晶胞结构图或晶体结构图
已经有0人回复
求碳酸钠和碳酸氢钠的晶胞结构图或晶体结构图
已经有0人回复
江西科技师范大学物理化学课题组接收调剂生,12点开启,速来
已经有0人回复
» 本主题相关价值贴推荐,对您同样有帮助:
关于ESR/EPR电子顺磁共振的一点疑问……
已经有6人回复
消除催化零回复,感谢虫友来交流(十二)
已经有19人回复


2楼2015-12-21 08:54:18
赵鹏sky
至尊木虫 (职业作家)
- 应助: 17 (小学生)
- 金币: 10738.6
- 散金: 491
- 红花: 26
- 沙发: 1
- 帖子: 3837
- 在线: 633.3小时
- 虫号: 2094439
- 注册: 2012-10-29
- 性别: GG
- 专业: 人工晶体

3楼2015-12-21 14:00:49

4楼2015-12-21 14:32:18
大头茄子
木虫 (正式写手)
- 应助: 80 (初中生)
- 金币: 1769.7
- 散金: 410
- 红花: 53
- 帖子: 449
- 在线: 131小时
- 虫号: 1186299
- 注册: 2011-01-09
- 性别: GG
- 专业: 有机合成

5楼2015-12-22 17:30:19














回复此楼