版块导航
正在加载中...
客户端APP下载
论文辅导
调剂小程序
登录
注册
帖子
帖子
用户
本版
应《网络安全法》要求,自2017年10月1日起,未进行实名认证将不得使用互联网跟帖服务。为保障您的帐号能够正常使用,请尽快对帐号进行手机号验证,感谢您的理解与支持!
24小时热门版块排行榜
>
论坛更新日志
(4053)
>
虫友互识
(581)
>
导师招生
(536)
>
文献求助
(487)
>
休闲灌水
(239)
>
考研
(182)
>
考博
(165)
>
硕博家园
(158)
>
论文投稿
(96)
>
招聘信息布告栏
(81)
>
博后之家
(78)
>
基金申请
(74)
>
教师之家
(73)
>
公派出国
(73)
>
绿色求助(高悬赏)
(41)
>
无机非金属
(35)
小木虫论坛-学术科研互动平台
»
化学化工区
»
电化学
»
电化基础
»
origin 画图求助
6
1/1
返回列表
查看: 1004 | 回复: 5
只看楼主
@他人
存档
新回复提醒
(忽略)
收藏
在APP中查看
drgonwang
铁杆木虫
(小有名气)
应助: 7
(幼儿园)
金币: 8664.5
散金: 1592
红花: 7
帖子: 240
在线: 224.9小时
虫号: 1092600
注册: 2010-09-08
性别: GG
专业: 电化学
[
求助
]
origin 画图求助
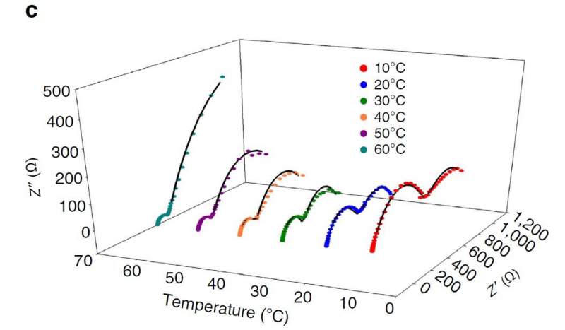
小弟想用origin 画出阻抗图,之后用waterfall功能展示出3D图的效果,就和文献中的一样,但是一直搞不定。求各位大神求助!!!
1.jpg
回复此楼
» 猜你喜欢
德国Karlsruhe Institute of Technology招收电化学储能及联合培养CSC博士
已经有24人回复
德国Karlsruhe Institute of Technology招收电化学储能及联合培养CSC博士
已经有1人回复
物理化学论文润色/翻译怎么收费?
已经有228人回复
固态锂金属电池迁移数计算求助
已经有1人回复
荷兰奈梅亨大学赵文博与Galimberti课题组招收理论计算CSC博士 2000 欧元/月+房补
已经有0人回复
26储能博士申请自荐
已经有23人回复
上海交通大学--宁波东方理工大学电池方向博士招生
已经有10人回复
海南大学全国重点实验室杨金霖老师招收储能电池方向博士生(2026年3月报名,9月入学)
已经有2人回复
海南师范大学2026年博士研究生招收 (在职想提升学历人员可报考) 申请考核制+普通招考
已经有1人回复
申博求助
已经有0人回复
JACS投稿
已经有0人回复
» 本主题相关价值贴推荐,对您同样有帮助:
origin画图问题
已经有0人回复
用jade cell refinement 之后要怎么用origin画图 求大神指点
已经有7人回复
求高手解决一下origin画图问题
已经有5人回复
origin画图请教
已经有6人回复
origin画图求指导!
已经有11人回复
Origin 画图的问题
已经有6人回复
Origin 画图调坐标
已经有1人回复
Origin画图求助
已经有2人回复
Origin画图求助
已经有3人回复
用origin画图出现这个问题,求解决方法
已经有3人回复
求助origin画图~
已经有12人回复
origin画图求助
已经有14人回复
求一个Origin画图的问题
已经有9人回复
求助:origin画图时如何求峰面积?谢谢
已经有13人回复
1楼
2015-12-17 22:52:04
已阅
回复此楼
关注TA
给TA发消息
送TA红花
TA的回帖
tzx1994
新虫
(初入文坛)
应助: 0
(幼儿园)
金币: 36.8
散金: 100
红花: 1
帖子: 48
在线: 14.2小时
虫号: 3442084
注册: 2014-09-26
性别: GG
专业: 胶体与界面化学
个人觉得你的一个轴设置有问题
发自小木虫Android客户端
赞
一下
回复此楼
2楼
2015-12-18 01:20:20
已阅
回复此楼
关注TA
给TA发消息
送TA红花
TA的回帖
drgonwang
铁杆木虫
(小有名气)
应助: 7
(幼儿园)
金币: 8664.5
散金: 1592
红花: 7
帖子: 240
在线: 224.9小时
虫号: 1092600
注册: 2010-09-08
性别: GG
专业: 电化学
引用回帖:
2楼
:
Originally posted by
tzx1994
at 2015-12-18 01:20:20
个人觉得你的一个轴设置有问题
您好,请问您说的详细一下马?我想画出截图那样的的图,但是搞不定啊
赞
一下
回复此楼
3楼
2015-12-18 08:38:34
已阅
回复此楼
关注TA
给TA发消息
送TA红花
TA的回帖
olea
专家顾问
(著名写手)
专家经验: +513
应助: 369
(硕士)
贵宾: 0.371
金币: 17697.7
红花: 89
帖子: 2364
在线: 1890.1小时
虫号: 210547
注册: 2006-03-07
专业: 电化学
管辖:
电化学
文献图发来看看哈
赞
一下
回复此楼
4楼
2015-12-18 08:53:53
已阅
回复此楼
关注TA
给TA发消息
送TA红花
TA的回帖
drgonwang
铁杆木虫
(小有名气)
应助: 7
(幼儿园)
金币: 8664.5
散金: 1592
红花: 7
帖子: 240
在线: 224.9小时
虫号: 1092600
注册: 2010-09-08
性别: GG
专业: 电化学
引用回帖:
4楼
:
Originally posted by
olea
at 2015-12-18 08:53:53
文献图发来看看哈
就是我上传的图片啊
赞
一下
回复此楼
5楼
2015-12-18 10:16:54
已阅
回复此楼
关注TA
给TA发消息
送TA红花
TA的回帖
yx0111
银虫
(小有名气)
应助: 3
(幼儿园)
金币: 501.4
红花: 1
帖子: 90
在线: 106.4小时
虫号: 1450872
注册: 2011-10-19
专业: 电化学
引用回帖:
5楼
:
Originally posted by
drgonwang
at 2015-12-18 10:16:54
就是我上传的图片啊
请问这个图怎么画呀~~
赞
一下
回复此楼
6楼
2016-07-01 17:55:19
已阅
回复此楼
关注TA
给TA发消息
送TA红花
TA的回帖
相关版块跳转
有机交流
有机资源
高分子
无机/物化
分析
催化
工艺技术
化工设备
石油化工
精细化工
电化学
环境
SciFinder/Reaxys
我要订阅楼主
drgonwang
的主题更新
6
1/1
返回列表
如果回帖内容含有宣传信息,请如实选中。否则帐号将被全论坛禁言
普通表情
龙
兔
虎
猫
百度网盘
|
360云盘
|
千易网盘
|
华为网盘
在新窗口页面中打开自己喜欢的网盘网站,将文件上传后,然后将下载链接复制到帖子内容中就可以了。
信息提示
关闭
请填处理意见
关闭
确定