| 查看: 1351 | 回复: 4 | |||
powerll新虫 (小有名气)
|
[求助]
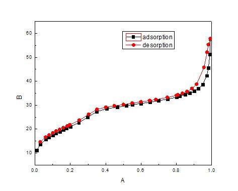
关于介孔材料氮气吸附脱附的表征 已有3人参与
|
||
|
|
|||
liwentao2010荣誉版主 (文坛精英)
山涛
|
|||
![]() |
|||
|
2楼2015-12-14 15:41:12
|
|
||
格格叔叔木虫 (正式写手)
|
|||
![]() |
|||
|
3楼2015-12-14 17:06:42
|
|
||
|
4楼2015-12-15 15:01:33
|
|
||
cnn10223033新虫 (初入文坛)
|
|||
|
5楼2016-05-31 15:16:06
|
|













回复此楼

