| 查看: 960 | 回复: 5 | ||
[交流]
这vasp是怎么了 已有1人参与
|
» 本主题相关价值贴推荐,对您同样有帮助:
vasp加自旋轨道耦合之后算自洽不收敛是怎么回事?
已经有3人回复
vasp计算结果问题
已经有8人回复
求个vasp5.2版本的vtst tool工具,或者是求教怎么在vasp官网下载vasp
已经有3人回复
vasp编译
已经有1人回复
VASP计算DOS时卡在writing wavefunctions不动了是怎么回事?
已经有5人回复
VASP下用LCALCPOL算极化强度的POSCAR怎么选取
已经有9人回复
vasp计算突然停止了,求助高手!
已经有2人回复
BoltzTrap 怎么用?与 VASP的接口怎么用? 全是疑惑啊,求前辈指教
已经有4人回复
求vasp大侠来看看 我这是怎么了
已经有3人回复
vasp计算PDOS,怎么分辨分波态属于哪个具体轨道
已经有7人回复
vasp磁性计算
已经有3人回复
vasp间隙磁矩
已经有6人回复
提交vasp的脚本是怎么写的呢?大家有没有模板让我学习一下呢
已经有6人回复
请问vasp结果怎么做电荷分析
已经有0人回复
求vasp并行时效率怎么检测?
已经有3人回复
vasp手册中关于CHGCAR的说明怎么理解
已经有6人回复
vasp计算振动强度
已经有15人回复
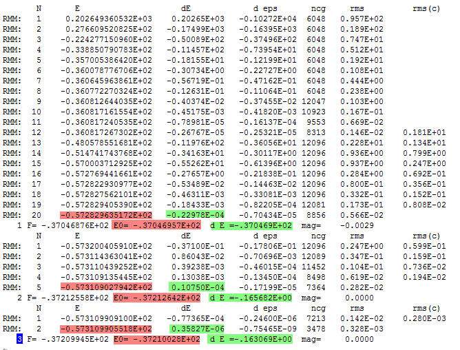
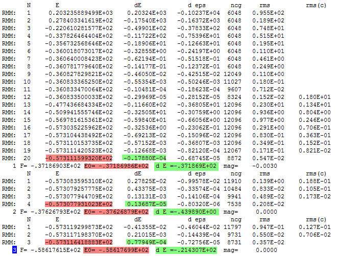
vasp中每个离子步结束后的dE是怎么定义的
已经有9人回复
【求助完毕】VASP计算是怎么交代计算细节的?
已经有9人回复


2楼2015-12-08 21:14:43

3楼2015-12-08 22:09:18
蛋蛋小童鞋
版主 (著名写手)
- 应助: 71 (初中生)
- 贵宾: 0.058
- 金币: 13669.2
- 散金: 497
- 红花: 29
- 沙发: 1
- 帖子: 2067
- 在线: 753.6小时
- 虫号: 4083004
- 注册: 2015-09-18
- 专业: 理论和计算化学
- 管辖: 第一性原理

4楼2015-12-08 23:57:34

5楼2015-12-09 17:31:58
蛋蛋小童鞋
版主 (著名写手)
- 应助: 71 (初中生)
- 贵宾: 0.058
- 金币: 13669.2
- 散金: 497
- 红花: 29
- 沙发: 1
- 帖子: 2067
- 在线: 753.6小时
- 虫号: 4083004
- 注册: 2015-09-18
- 专业: 理论和计算化学
- 管辖: 第一性原理

6楼2015-12-09 18:16:55














回复此楼