| ²é¿´: 2123 | »Ø¸´: 8 | ||||
songy941ľ³æ (ÕýʽдÊÖ)
|
[ÇóÖú]
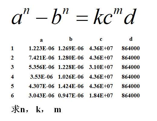
ÇúÏßÄâºÏÇóÈý¸ö±äÁ¿ÄâºÏÖµ ÒÑÓÐ2È˲ÎÓë
|
|||
|
|
||||
| »ØÌûÖö¥ ( ¹²ÓÐ1¸ö ) | ||||
songy941ľ³æ (ÕýʽдÊÖ)
|
songy941: »ØÌûÖö¥ 2015-12-08 11:23:13
|
|||
|
5Â¥2015-12-08 11:22:43
|
|
|||
| ÆÕͨ»ØÌû | ||||
dingdÌú¸Ëľ³æ (Ö°Òµ×÷¼Ò)
|
¡¾´ð°¸¡¿Ó¦Öú»ØÌû
¸Ðл²ÎÓ룬ӦÖúÖ¸Êý +1
|
|||
|
2Â¥2015-12-08 10:25:13
|
|
|||
songy941ľ³æ (ÕýʽдÊÖ)
|
||||
|
3Â¥2015-12-08 11:17:18
|
|
|||
songy941ľ³æ (ÕýʽдÊÖ)
|
||||
|
4Â¥2015-12-08 11:18:07
|
|
|||
ÔÂÖ»À¶Ö÷¹ÜÇø³¤ (Ö°Òµ×÷¼Ò)
|
¡¾´ð°¸¡¿Ó¦Öú»ØÌû
¡ï ¡ï ¡ï ¡ï ¡ï ¡ï ¡ï ¡ï ¡ï ¡ï ¡ï ¡ï ¡ï ¡ï ¡ï ¡ï ¡ï ¡ï ¡ï ¡ï ¡ï ¡ï ¡ï ¡ï ¡ï ¡ï ¡ï ¡ï ¡ï ¡ï ¡ï ¡ï ¡ï ¡ï ¡ï ¡ï ¡ï ¡ï ¡ï ¡ï ¡ï ¡ï ¡ï ¡ï ¡ï ¡ï ¡ï ¡ï ¡ï ¡ï ¡ï ¡ï ...
¸Ðл²ÎÓ룬ӦÖúÖ¸Êý +1 songy941: ½ð±Ò+100, ¡ï¡ï¡ïºÜÓаïÖú 2015-12-08 14:32:17
|
|||
![]() |
||||
|
6Â¥2015-12-08 12:23:38
|
|
|||
songy941ľ³æ (ÕýʽдÊÖ)
|
||||
|
7Â¥2015-12-08 14:33:41
|
|
|||
ÔÂÖ»À¶Ö÷¹ÜÇø³¤ (Ö°Òµ×÷¼Ò)
|
||||
![]() |
||||
|
8Â¥2015-12-08 15:29:48
|
|
|||
songy941ľ³æ (ÕýʽдÊÖ)
|
||||
|
9Â¥2015-12-08 17:03:32
|
|
|||













»Ø¸´´ËÂ¥


5