| 查看: 1026 | 回复: 5 | ||
yh441400新虫 (初入文坛)
|
[求助]
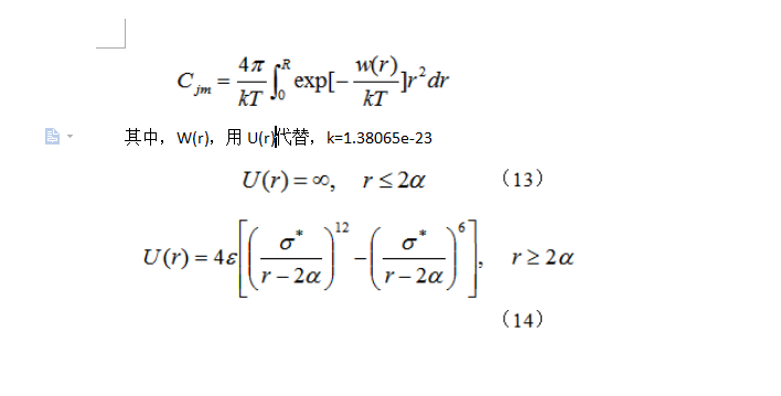
matlab非线性拟合,求大神帮忙 已有1人参与
|
|
|
|
||
yh441400新虫 (初入文坛)
|
||
|
2楼2015-12-04 19:23:12
|
|
|
dingd铁杆木虫 (职业作家)
|
【答案】应助回帖
感谢参与,应助指数 +1
|
|
|
3楼2015-12-04 22:10:05
|
|
|
|
4楼2015-12-06 08:01:29
|
|
|
yh441400新虫 (初入文坛)
|
||
|
5楼2015-12-06 09:09:03
|
|
|
yh441400新虫 (初入文坛)
|
||
|
6楼2015-12-06 09:10:41
|
|













回复此楼