| 查看: 1273 | 回复: 24 | ||
lifan134679新虫 (正式写手)
|
[求助]
求助 表面化学 已有2人参与
|
|
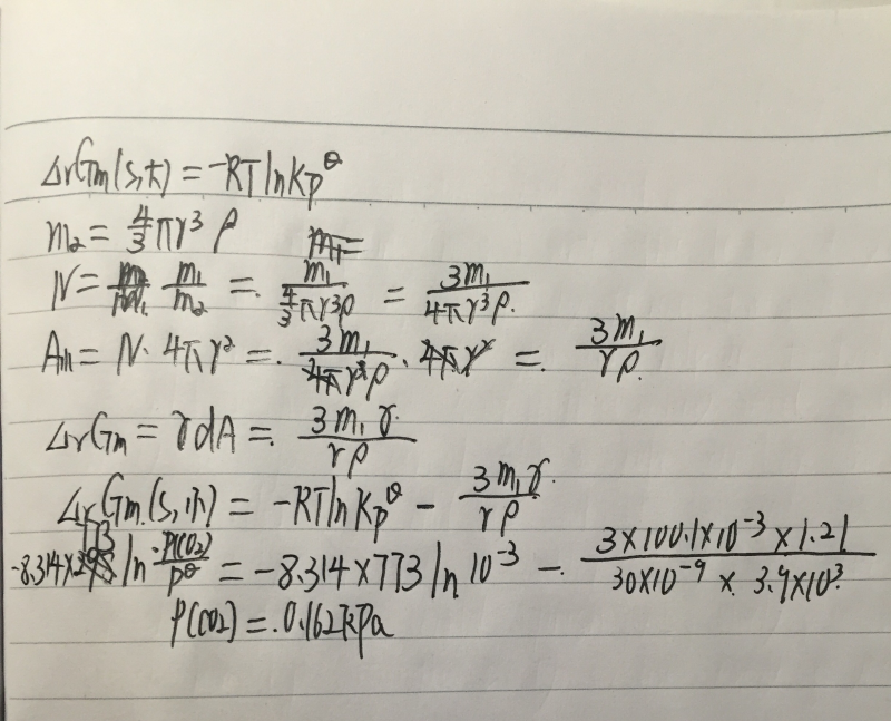
求助,请大神帮忙看一下这道题我的思路对不对错的话错在哪了 为何结果与答案不同 谢谢 发自小木虫IOS客户端 |
» 猜你喜欢
[武汉纺织大学]材料学院[姜伟团队名称]课题组-2026年硕士研究生调剂信息
已经有0人回复
武汉纺织大学-材料科学与工程学院-姜伟杰青团队-招调剂
已经有0人回复
有机高分子材料论文润色/翻译怎么收费?
已经有298人回复
生物医学材料前沿科普:低密度、高孔隙率的“多孔微球”核心技术与应用全景
已经有1人回复
湖南工业大学周贵寅组招生物医学工程(学硕07、08都行)、生物与医药(专硕08)硕士生
已经有0人回复
湖南工业大学周贵寅组招生物医学工程(学硕07、08都行)和生物与医药(专硕08)硕士生
已经有0人回复
考研求调剂
已经有0人回复
2026年中南民族大学化学与材料科学学院调剂公告
已经有40人回复
武汉纺织大学招生物材料、化学、高分子相关专业硕士生
已经有0人回复
武汉纺织大学招生物材料、化学、高分子相关专业硕士生-另有少量士兵计划可咨询
已经有0人回复
[武汉纺织大学]材料学院[姜伟团队名称]课题组-2026年硕士研究生调剂信息
已经有0人回复
» 本主题相关价值贴推荐,对您同样有帮助:
表面物理化学专业书籍求助
已经有0人回复
求助物理化学里表面热力学的证明题
已经有1人回复
求助用FLUENT模拟YBCO气相沉积表面化学反应
已经有8人回复
求助物理化学表面能题目答案
已经有2人回复
求助 钢铁表面化学抛光液的配方 草酸-过氧化氢型
已经有1人回复
求助表面物理化学电子版
已经有1人回复
求助表面金属有机化学的一本书
已经有2人回复
求助:表面物理化学或者表面化学物理课程ppt(上传可获得10个金币)
已经有4人回复
刚入门胶体与表面化学 求助
已经有4人回复
求助物化表面化学部分的小细节?
已经有2人回复
求助 《表面与胶体化学》课件
已经有6人回复
【求助】铜粉表面化学镀镍的方法
已经有18人回复
【求助】化学修饰电极表面的扫描电镜如何做啊
已经有19人回复
【求助】钢铁表面化学镀二氧化钛有可能吗?
已经有6人回复
【求助】化学镀的厚度,及表面?
已经有22人回复
【求助】化学求助
已经有11人回复
【求助】求胶体与表面化学课件【求助完成】
已经有7人回复
lifan134679
新虫 (正式写手)
- 应助: 0 (幼儿园)
- 金币: 959
- 散金: 20
- 红花: 4
- 帖子: 341
- 在线: 110.3小时
- 虫号: 3929728
- 注册: 2015-06-17
- 专业: 材料物理化学
2楼2015-12-02 19:49:20
谷中明
至尊木虫 (著名写手)
- ICEPI: 19
- 应助: 1264 (讲师)
- 贵宾: 0.482
- 金币: 24134.7
- 红花: 182
- 帖子: 2913
- 在线: 1911.3小时
- 虫号: 1883403
- 注册: 2012-07-08
- 性别: GG
- 专业: 热力学
3楼2015-12-02 22:22:37
lifan134679
新虫 (正式写手)
- 应助: 0 (幼儿园)
- 金币: 959
- 散金: 20
- 红花: 4
- 帖子: 341
- 在线: 110.3小时
- 虫号: 3929728
- 注册: 2015-06-17
- 专业: 材料物理化学
4楼2015-12-02 23:12:06
chenzug
捐助贵宾 (知名作家)
- ICEPI: 1
- 应助: 20 (小学生)
- 金币: 3623.5
- 散金: 5560
- 红花: 38
- 沙发: 1
- 帖子: 6195
- 在线: 1943.9小时
- 虫号: 2132397
- 注册: 2012-11-17
- 性别: GG
- 专业: 金属有机化学
★
冰点降温: 金币+1, 谢谢回帖交流,欢迎常来无机物化版块。 2015-12-03 08:54:42
冰点降温: 金币+1, 谢谢回帖交流,欢迎常来无机物化版块。 2015-12-03 08:54:42
|
我说不清楚 觉得你对△G的理解不够清楚(当然我也是) 就上面这个反应达到平衡来说 等温等压 不做非膨胀功 △G肯定等于零 再说说我对 △G的理解 其实我肯定是别处看到过的 不过可能阐述有问题 看谷老师了 一个非常大的体系在当前条件下发生了一摩尔的反应 他的吉布斯能变和当前平衡常数有这样的数值关系 仅仅是数值关系 希望你看了之后想一下 发自小木虫Android客户端 |

5楼2015-12-03 00:33:54
|
本帖内容被屏蔽 |
6楼2015-12-03 07:58:36
lifan134679
新虫 (正式写手)
- 应助: 0 (幼儿园)
- 金币: 959
- 散金: 20
- 红花: 4
- 帖子: 341
- 在线: 110.3小时
- 虫号: 3929728
- 注册: 2015-06-17
- 专业: 材料物理化学
7楼2015-12-03 09:22:11
lifan134679
新虫 (正式写手)
- 应助: 0 (幼儿园)
- 金币: 959
- 散金: 20
- 红花: 4
- 帖子: 341
- 在线: 110.3小时
- 虫号: 3929728
- 注册: 2015-06-17
- 专业: 材料物理化学
8楼2015-12-03 09:25:01
chenzug
捐助贵宾 (知名作家)
- ICEPI: 1
- 应助: 20 (小学生)
- 金币: 3623.5
- 散金: 5560
- 红花: 38
- 沙发: 1
- 帖子: 6195
- 在线: 1943.9小时
- 虫号: 2132397
- 注册: 2012-11-17
- 性别: GG
- 专业: 金属有机化学
|
液体分割成小液滴的过程中 表面能增加 也就是你算的那个 然后蒸汽压升高Vmdp 小液滴变成气体的时候 表面消失 然后答案表达的也不够清楚 (你可以参考傅献彩第五版kelvin公式推导) 发自小木虫Android客户端 |

9楼2015-12-03 13:14:59
lifan134679
新虫 (正式写手)
- 应助: 0 (幼儿园)
- 金币: 959
- 散金: 20
- 红花: 4
- 帖子: 341
- 在线: 110.3小时
- 虫号: 3929728
- 注册: 2015-06-17
- 专业: 材料物理化学
|
额 对于您说的那个利用平衡态总G等于零计算我是理解的 但是我还是没太想明白我错在哪了 如果两次生成的G(CaO)视为近似相等,CO2前后的标准吉布斯自由能也没有改变(CO2压力的变化并没有影响标准吉布斯自由能)。那两个反应的标准吉布斯自由能的不同之处就应该只体现在反应物呀……求出小颗粒反应的标准吉布斯自由能再用公式算P(CO2)实在没想明白错在哪了 发自小木虫IOS客户端 |
10楼2015-12-03 14:08:25













回复此楼