| 查看: 466 | 回复: 1 | |
lxhlxh052c木虫 (著名写手)
小木虫之无虫
|
[求助]
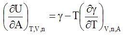
求助物理化学里表面热力学的证明题 已有1人参与
|
![]() |
|
|
|
|
sddtc888至尊木虫 (著名写手)
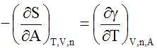
Hψ=Eψ S=klnΩ dS≥δQ/T
|
|
![]() |
|
|
2楼2014-03-10 10:51:27
|
|













回复此楼
40