| 查看: 1729 | 回复: 13 | ||
k望尽天涯路k新虫 (小有名气)
|
[求助]
求解如下偏微分方程 已有3人参与
|
|
空中飞客
至尊木虫 (著名写手)
- 应助: 21 (小学生)
- 金币: 12747.9
- 散金: 250
- 红花: 10
- 帖子: 1897
- 在线: 399.7小时
- 虫号: 938763
- 注册: 2010-01-07
- 性别: GG
- 专业: 物理学I
2楼2015-11-30 19:21:13
k望尽天涯路k
新虫 (小有名气)
- 应助: 0 (幼儿园)
- 金币: 1679.8
- 散金: 30
- 帖子: 112
- 在线: 454.6小时
- 虫号: 3674722
- 注册: 2015-02-02
- 专业: 机械结构强度学
|
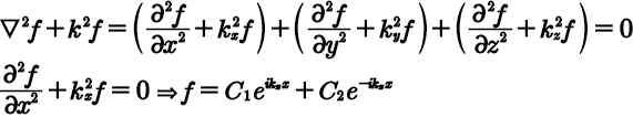
如果是泊松方程,那么等号左侧的一项应该是与待求函数f无关的已知函数吧?这里等号左侧的一项就是待求函数本身,所以我也不清楚到底是不是泊松方程了。。。 发自小木虫Android客户端 |
3楼2015-11-30 20:52:44
fang_sea001
新虫 (初入文坛)
- 应助: 4 (幼儿园)
- 金币: 930.1
- 红花: 1
- 帖子: 50
- 在线: 28.3小时
- 虫号: 4231282
- 注册: 2015-11-19
- 专业: 基础物理学
5楼2015-12-01 21:12:05
4楼2015-12-01 15:46:26
k望尽天涯路k
新虫 (小有名气)
- 应助: 0 (幼儿园)
- 金币: 1679.8
- 散金: 30
- 帖子: 112
- 在线: 454.6小时
- 虫号: 3674722
- 注册: 2015-02-02
- 专业: 机械结构强度学
6楼2015-12-02 08:11:00
k望尽天涯路k
新虫 (小有名气)
- 应助: 0 (幼儿园)
- 金币: 1679.8
- 散金: 30
- 帖子: 112
- 在线: 454.6小时
- 虫号: 3674722
- 注册: 2015-02-02
- 专业: 机械结构强度学
7楼2015-12-02 08:11:45
fang_sea001
新虫 (初入文坛)
- 应助: 4 (幼儿园)
- 金币: 930.1
- 红花: 1
- 帖子: 50
- 在线: 28.3小时
- 虫号: 4231282
- 注册: 2015-11-19
- 专业: 基础物理学
【答案】应助回帖
★ ★ ★ ★ ★
感谢参与,应助指数 +1
k望尽天涯路k: 金币+5, ★有帮助, 谢谢回复 2015-12-03 20:42:01
感谢参与,应助指数 +1
k望尽天涯路k: 金币+5, ★有帮助, 谢谢回复 2015-12-03 20:42:01
|
其实就是拆解成三个x,y.z分量的微分方程,然后逐一求解 发自小木虫Android客户端 |
8楼2015-12-02 17:09:21
k望尽天涯路k
新虫 (小有名气)
- 应助: 0 (幼儿园)
- 金币: 1679.8
- 散金: 30
- 帖子: 112
- 在线: 454.6小时
- 虫号: 3674722
- 注册: 2015-02-02
- 专业: 机械结构强度学
9楼2015-12-02 20:15:09
小小淘金者
至尊木虫 (知名作家)
- 应助: 4 (幼儿园)
- 金币: 23708.1
- 散金: 1558
- 红花: 16
- 沙发: 66
- 帖子: 8482
- 在线: 1215.9小时
- 虫号: 3942665
- 注册: 2015-06-27
- 性别: GG
- 专业: 物理学I

10楼2015-12-06 15:29:00













回复此楼