| 查看: 1340 | 回复: 13 | ||
steve.jobs实习版主
|
[求助]
无机化学中的计算题---沉淀溶解平衡 已有3人参与
|
|
|
求大神帮忙解答下!多谢! 发自小木虫Android客户端 |
» 猜你喜欢
武汉纺织大学-材料学院-高分子结构与性能团队-招调剂-生物方向
已经有6人回复
接受考研调剂~武汉纺织大学招材料、化学、高分子、纺织、生物相关专业硕士生
已经有0人回复
有机高分子材料论文润色/翻译怎么收费?
已经有104人回复
聚左旋乳酸和聚双旋乳酸的区别
已经有0人回复
武汉纺织大学纺织学院接收调剂
已经有0人回复
武汉纺织大学-材料科学与工程学院-招 生物方向 硕士!
已经有0人回复
2026年武汉纺织大学国家杰青课题组招收调剂化学 生物 医学 食品 环境研究生
已经有15人回复
武汉纺织大学-材料科学与工程学院-姜伟杰青团队-招生物方向调剂
已经有0人回复
武汉纺织大学-材料科学与工程学院-招 生物方向 硕士!
已经有0人回复
武汉纺织大学-材料科学与工程学院-姜伟杰青团队-招生物方向调剂
已经有0人回复
[武汉纺织大学]材料学院[姜伟团队名称]课题组-2026年硕士研究生调剂信息
已经有0人回复
» 本主题相关价值贴推荐,对您同样有帮助:
实验室安全守则和细胞工程实验操作(淮北师范大学生命科学院)
已经有33人回复
江南大学分析化学考研
已经有34人回复
普通化学 文字版(同济大学 国家“十五”规划教材)
已经有142人回复
xjyuefan
专家顾问
![]()
![]()
![]()
![]()
- 应助: 12 (小学生)
- 金币: 5130.7
- 散金: 100
- 红花: 1
- 帖子: 462
- 在线: 238.7小时
- 虫号: 338536
- 注册: 2007-04-04
- 性别: GG
- 专业: 配位化学
★
感谢参与,应助指数 +1
冰点降温: 金币+1, 应助指数-1, 非有效应助,请详细表述你所表达的意思和思路。谢谢回帖,欢迎来无机物化版块交流。 2015-11-27 14:02:19
感谢参与,应助指数 +1
冰点降温: 金币+1, 应助指数-1, 非有效应助,请详细表述你所表达的意思和思路。谢谢回帖,欢迎来无机物化版块交流。 2015-11-27 14:02:19
|
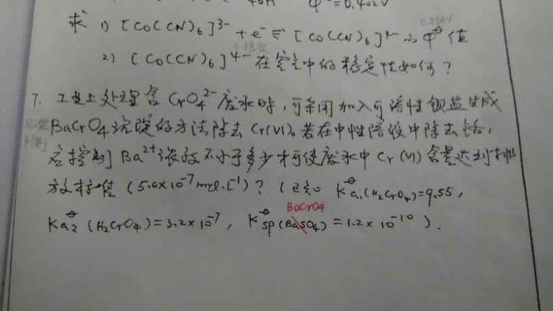
这里铬的量应为H2CrO4+HCrO4+CrO4 发自小木虫Android客户端 |
10楼2015-11-27 00:30:54
崇明先生
超级版主
无机世界漫步者
![]()
![]()
![]()
![]()
- ICEPI: 8
- 应助: 501 (博士)
- 贵宾: 0.626
- 金币: 24950.7
- 散金: 238
- 红花: 103
- 沙发: 29
- 帖子: 2839
- 在线: 536小时
- 虫号: 3430055
- 注册: 2014-09-20
- 性别: GG
- 专业: 天然药物化学

2楼2015-11-26 19:05:49
steve.jobs
专家顾问
![]()
![]()
![]()
![]()
- 应助: 5 (幼儿园)
- 金币: 865.3
- 散金: 15
- 红花: 1
- 帖子: 213
- 在线: 66小时
- 虫号: 3285378
- 注册: 2014-06-21
- 性别: MM
- 专业: 理论和计算化学
3楼2015-11-26 20:39:41
steve.jobs
主管区长
![]()
![]()
![]()
![]()
- 应助: 5 (幼儿园)
- 金币: 865.3
- 散金: 15
- 红花: 1
- 帖子: 213
- 在线: 66小时
- 虫号: 3285378
- 注册: 2014-06-21
- 性别: MM
- 专业: 理论和计算化学
4楼2015-11-26 20:43:53
崇明先生
超级版主
无机世界漫步者
![]()
![]()
![]()
![]()
- ICEPI: 8
- 应助: 501 (博士)
- 贵宾: 0.626
- 金币: 24950.7
- 散金: 238
- 红花: 103
- 沙发: 29
- 帖子: 2839
- 在线: 536小时
- 虫号: 3430055
- 注册: 2014-09-20
- 性别: GG
- 专业: 天然药物化学

5楼2015-11-26 20:55:03
steve.jobs
兑换贵宾
![]()
![]()
![]()
![]()
- 应助: 5 (幼儿园)
- 金币: 865.3
- 散金: 15
- 红花: 1
- 帖子: 213
- 在线: 66小时
- 虫号: 3285378
- 注册: 2014-06-21
- 性别: MM
- 专业: 理论和计算化学
6楼2015-11-26 21:23:10
崇明先生
兑换贵宾
无机世界漫步者
![]()
![]()
![]()
![]()
- ICEPI: 8
- 应助: 501 (博士)
- 贵宾: 0.626
- 金币: 24950.7
- 散金: 238
- 红花: 103
- 沙发: 29
- 帖子: 2839
- 在线: 536小时
- 虫号: 3430055
- 注册: 2014-09-20
- 性别: GG
- 专业: 天然药物化学

7楼2015-11-26 21:26:14
steve.jobs
兑换贵宾
![]()
![]()
![]()
![]()
- 应助: 5 (幼儿园)
- 金币: 865.3
- 散金: 15
- 红花: 1
- 帖子: 213
- 在线: 66小时
- 虫号: 3285378
- 注册: 2014-06-21
- 性别: MM
- 专业: 理论和计算化学
8楼2015-11-26 21:54:48
崇明先生
版主
无机世界漫步者
![]()
![]()
![]()
![]()
- ICEPI: 8
- 应助: 501 (博士)
- 贵宾: 0.626
- 金币: 24950.7
- 散金: 238
- 红花: 103
- 沙发: 29
- 帖子: 2839
- 在线: 536小时
- 虫号: 3430055
- 注册: 2014-09-20
- 性别: GG
- 专业: 天然药物化学

9楼2015-11-26 23:07:54














回复此楼