| ²é¿´: 1382 | »Ø¸´: 10 | ||||
À¶Ð¡½ãµÄÔ¶·½Ð³æ (СÓÐÃûÆø)
|
[½»Á÷]
µç¶¯Á¦Ñ§µÄÇó¸øÁ¦ ÒÑÓÐ5È˲ÎÓë
|
|||
|
»ºìÏßµÄÄǸöÔõô֤Ã÷£¿ ·¢×ÔСľ³æAndroid¿Í»§¶Ë |
» ²ÂÄãϲ»¶
297£¬¹¤¿Æµ÷¼Á?
ÒѾÓÐ4È˻ظ´
¿ÒÇëÓÐѧУÊÕÁô
ÒѾÓÐ7È˻ظ´
291Çóµ÷¼Á
ÒѾÓÐ9È˻ظ´
300Çóµ÷¼Á
ÒѾÓÐ11È˻ظ´
22ר˶Çóµ÷¼Á
ÒѾÓÐ12È˻ظ´
²ÄÁÏÏà¹Ø×¨Òµ344Çóµ÷¼ÁË«·Ç¹¤¿ÆÑ§Ð£»ò¿ÎÌâ×é
ÒѾÓÐ25È˻ظ´
¼±Ðèµ÷¼Á
ÒѾÓÐ7È˻ظ´
Çóµ÷¼Á
ÒѾÓÐ10È˻ظ´
Ò»Ö¾Ô¸»ªÖÐũҵ071010£¬320Çóµ÷¼Á
ÒѾÓÐ16È˻ظ´
304Çóµ÷¼Á
ÒѾÓÐ5È˻ظ´
¶«·½ÌìÒ£
ÖÁ×ðľ³æ (ÖøÃûдÊÖ)
- Ó¦Öú: 12 (СѧÉú)
- ½ð±Ò: 14668.4
- É¢½ð: 1181
- ºì»¨: 9
- Ìû×Ó: 2258
- ÔÚÏß: 180.7Сʱ
- ³æºÅ: 970746
- ×¢²á: 2010-03-14
- ÐÔ±ð: GG
- רҵ: »ù´¡ÎïÀíѧ

6Â¥2015-11-28 12:42:59
Ãæ°üÀ¶µ÷
Ìú³æ (СÓÐÃûÆø)
- Ó¦Öú: 0 (Ó×¶ùÔ°)
- ½ð±Ò: 16.1
- É¢½ð: 20
- ºì»¨: 2
- Ìû×Ó: 250
- ÔÚÏß: 69.9Сʱ
- ³æºÅ: 4045871
- ×¢²á: 2015-08-28
- רҵ: »ù´¡ÎïÀíѧ
2Â¥2015-11-24 23:48:46
--°ËÔÆ--
ר¼Ò¹ËÎÊ (ÖªÃû×÷¼Ò)
²©ÀÀÖÚ¼ÒÖ®³¤£¬ÖÕ¼¯°Ù¼ÒÖ®¶Ì
-

ר¼Ò¾Ñé: +143 - ÎïÀíEPI: 1
- Ó¦Öú: 216 (´óѧÉú)
- ½ð±Ò: 4097.5
- É¢½ð: 1408
- ºì»¨: 70
- Ìû×Ó: 9216
- ÔÚÏß: 1033.8Сʱ
- ³æºÅ: 1368331
- ×¢²á: 2011-08-14
- ÐÔ±ð: GG
- רҵ: Äý¾Û̬ÎïÐÔ II £ºµç×ӽṹ
- ¹ÜϽ: ÎïÀí
¡ï
Сľ³æ: ½ð±Ò+0.5, ¸ø¸öºì°ü£¬Ð»Ð»»ØÌû
Сľ³æ: ½ð±Ò+0.5, ¸ø¸öºì°ü£¬Ð»Ð»»ØÌû
|
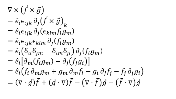
ÕâÖÖÖ¤Ã÷ÎÒ»¹ÕæÊǵÚÒ»´Î¼ûµ½£¬Ò²ÐíÊÇÎҹª¹ÑÎÅÁË ÎÒµÄһλÀÏÊ¦Ôø¾ÓùýÀàËÆµÄÐðÊöÈ¥½âÊÍËã·ûµÄ¼ÆË㣬µ«ÊÇÎÒ»¹´ÓûÏë¹ýÓÃÔÚÖ±½ÓÖ¤Ã÷ÉÏ¡£ ³¤¼ûʶÁË£¬ÓпÕѧѧËã×Ó´úÊý |

3Â¥2015-11-25 23:49:48
Ãæ°üÀ¶µ÷
Ìú³æ (СÓÐÃûÆø)
- Ó¦Öú: 0 (Ó×¶ùÔ°)
- ½ð±Ò: 16.1
- É¢½ð: 20
- ºì»¨: 2
- Ìû×Ó: 250
- ÔÚÏß: 69.9Сʱ
- ³æºÅ: 4045871
- ×¢²á: 2015-08-28
- רҵ: »ù´¡ÎïÀíѧ
¡ï
Сľ³æ: ½ð±Ò+0.5, ¸ø¸öºì°ü£¬Ð»Ð»»ØÌû
Сľ³æ: ½ð±Ò+0.5, ¸ø¸öºì°ü£¬Ð»Ð»»ØÌû
|
ÎÒÃǵ綯ÀÏʦ¸øµÄÖ¤·¨£¬µ±È»²¢²»ÊÇ˵ÍêÃÀÎÞȱ£¬Ö»ÊÇÒ»¶¨³Ì¶ÈÉÏ˵µÃͨ£¬·ñÔòÖ»ÄܰÑËã·ûÓ÷ÖÁ¿È¥ÂýÂýËãÁË£¬ÕâÖÖÖ¤·¨Ö÷ÒªÀûÓÃÀÊÏËã·ûÆäʸÁ¿ÐÔÖÊÓëÆ«µ¼ÐÔÖÊ ·¢×ÔСľ³æAndroid¿Í»§¶Ë |
4Â¥2015-11-25 23:57:04
--°ËÔÆ--
ר¼Ò¹ËÎÊ (ÖªÃû×÷¼Ò)
²©ÀÀÖÚ¼ÒÖ®³¤£¬ÖÕ¼¯°Ù¼ÒÖ®¶Ì
-

ר¼Ò¾Ñé: +143 - ÎïÀíEPI: 1
- Ó¦Öú: 216 (´óѧÉú)
- ½ð±Ò: 4097.5
- É¢½ð: 1408
- ºì»¨: 70
- Ìû×Ó: 9216
- ÔÚÏß: 1033.8Сʱ
- ³æºÅ: 1368331
- ×¢²á: 2011-08-14
- ÐÔ±ð: GG
- רҵ: Äý¾Û̬ÎïÐÔ II £ºµç×ӽṹ
- ¹ÜϽ: ÎïÀí

5Â¥2015-11-26 00:12:14
Ê®µãÖӵĿ§·È
½ð³æ (ÕýʽдÊÖ)
- ÎïÀíEPI: 3
- Ó¦Öú: 17 (СѧÉú)
- ½ð±Ò: 481.1
- É¢½ð: 209
- ºì»¨: 16
- Ìû×Ó: 678
- ÔÚÏß: 85.4Сʱ
- ³æºÅ: 2444281
- ×¢²á: 2013-05-02
- רҵ: ¹âѧ
7Â¥2015-11-28 20:30:24
À¶Ð¡½ãµÄÔ¶·½
гæ (СÓÐÃûÆø)
- Ó¦Öú: 0 (Ó×¶ùÔ°)
- ½ð±Ò: 270.5
- É¢½ð: 40
- Ìû×Ó: 73
- ÔÚÏß: 8.4Сʱ
- ³æºÅ: 4150488
- ×¢²á: 2015-10-16
- ÐÔ±ð: GG
- רҵ: »ù´¡ÎïÀíѧ
8Â¥2015-12-14 13:24:09
À¶Ð¡½ãµÄÔ¶·½
гæ (СÓÐÃûÆø)
- Ó¦Öú: 0 (Ó×¶ùÔ°)
- ½ð±Ò: 270.5
- É¢½ð: 40
- Ìû×Ó: 73
- ÔÚÏß: 8.4Сʱ
- ³æºÅ: 4150488
- ×¢²á: 2015-10-16
- ÐÔ±ð: GG
- רҵ: »ù´¡ÎïÀíѧ
9Â¥2015-12-14 13:39:19
À¶Ð¡½ãµÄÔ¶·½
гæ (СÓÐÃûÆø)
- Ó¦Öú: 0 (Ó×¶ùÔ°)
- ½ð±Ò: 270.5
- É¢½ð: 40
- Ìû×Ó: 73
- ÔÚÏß: 8.4Сʱ
- ³æºÅ: 4150488
- ×¢²á: 2015-10-16
- ÐÔ±ð: GG
- רҵ: »ù´¡ÎïÀíѧ
10Â¥2015-12-22 20:47:36













»Ø¸´´ËÂ¥
5