| 查看: 1356 | 回复: 3 | ||
[求助]
有在nature上一篇关于生物信息学的文章中的几个图,看不明白,希望得到帮助,谢谢 已有1人参与
|
|
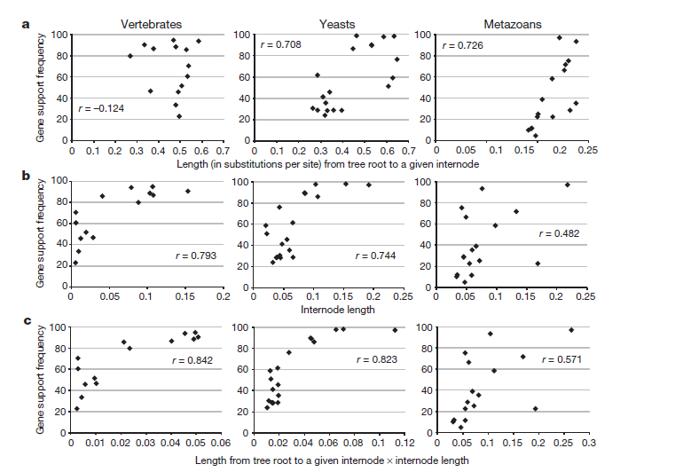
一篇关于生物信息学的文章,题名为Inferring ancient divergences requires genes with strong phylogenetic signals,本人没有相关的学习背景,对此很是迷茫,以下是文章中出现的图,希望得到大家的指点 1.png 2.png 3.png |
» 猜你喜欢
留学--博士招生
已经有16人回复
化学工程,本211,求调剂,ab区不限
已经有4人回复
化学工程及工业化学论文润色/翻译怎么收费?
已经有172人回复
湖北师范大学招调剂啦
已经有7人回复
邵阳学院食品与化学工程学院硕士调剂
已经有0人回复
天津商业大学 生物与医药课题组招生
已经有0人回复
生物化工学硕招收调剂
已经有0人回复
广东石油化工学院2026年硕士研究生需要多名生物,制药工程,食品专业的调剂生
已经有0人回复
317分 一志愿江南大学 化学工程学硕 求调剂
已经有6人回复
化工申博
已经有3人回复
2楼2015-11-22 21:14:20
【答案】应助回帖
感谢参与,应助指数 +1
| 人家这个文章涉及到的这个内容太深了,这篇文章应该是方法论的文章,对进化生物学应该非常有意义(毋庸置疑,nature的文章都是非常值得拜读的),这篇文章是讲的当前系统发育研究中一个重要的问题,就是构建系统发育关系的序列信息应该选择那些基因,那些基因用于做序列maker是最恰当的,从原始的形态特征的相似度,人们就开始研究物种之间的关系,90年代的分子技术高速发展,给系统发育研究提供了新的材料,研究者不只局限于形态特征的相似,更注重DNA maker的比对,从而构建稳定的系统发育关系,也就是基因树,但是基因树与真实的物种树其实是有差别的,要想建立更准确的物种树,探究物种之间的分歧关系,那就必须要选择合适的DNA maker作为材料,那什么DNA maker是合适的,那就是这些基因必须具有较强的遗传发育信号。举个列子,人、猩猩和狗,我们都知道人跟猩猩的亲缘关系显然比狗近,我们从形态特征上能够分辨这是我们的直观感受,用DNA maker去构建他们之间的关系,那么这个DNA maker应该选择哪个,哪个更含有人和猩猩亲缘关系近和狗关系远的DNA squence。这边文章从题目上看就是为了解决这一问题的,这么文章应该是比较了不同的DNA squence然后通过分析,选择出具有遗传效力的squence。具体的可搜索维基百科(英文版),phylogenetic signal,应该会有相关的知识去了解。 |

3楼2015-11-24 14:16:58
4楼2015-11-29 01:51:33














回复此楼
小马儿ing