| ²é¿´: 1076 | »Ø¸´: 7 | ||
chenrenhuanÌú¸Ëľ³æ (ÖªÃû×÷¼Ò)
×îÇ¿µÄθ
|
[ÇóÖú]
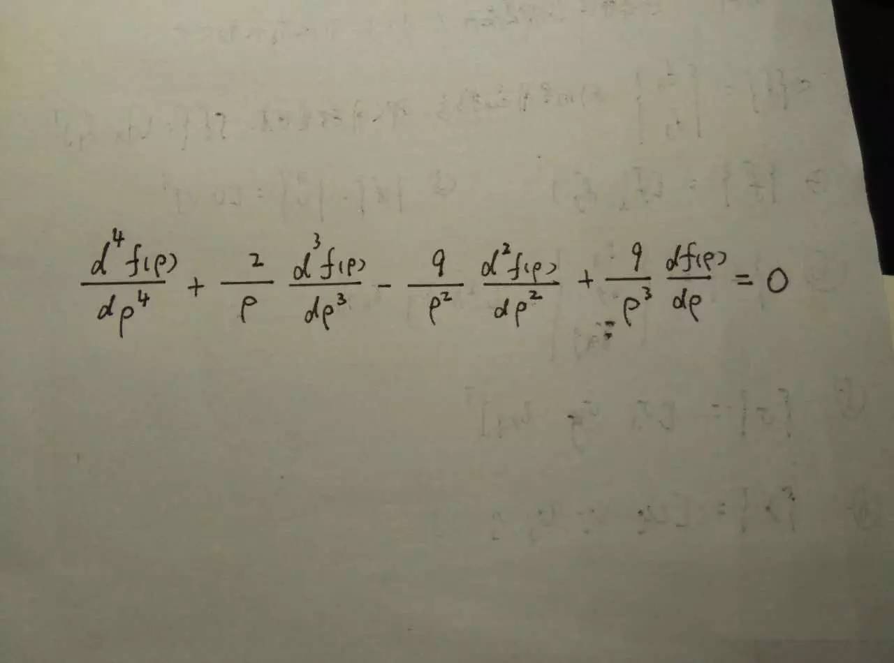
µ¯ÐÔÁ¦Ñ§¿Î±¾ÖÐÓиö΢·Ö·½³Ì²»»á½â£¬ÇóÖú ÒÑÓÐ2È˲ÎÓë
|
Õâ¸öËãÊǸßÊýûѧºÃ°É¡£»ìµ½Ñо¿ÉúÁË¡£¡£ÄÄλǰ±²°ïÎÒ½âÒ»ÏÂллÁË£¡ ºó±ßÁ½Ïî·Ö×Ó¶¼ÊÇ9£¬Êý×־𣡣²»ÊÇʲôQ¡£¡££¬ÊéÉÏ´ð°¸ÊÇf=Ap^4+Bp^2+C+Dp^-2,ABCDΪ´ý¶¨ÏµÊý |
» ²ÂÄãϲ»¶
Ò»Ö¾Ô¸ºÓ±±¹¤Òµ´óѧ0817»¯¹¤278·ÖÇóµ÷¼Á
ÒѾÓÐ3È˻ظ´
»¯Ñ§308·ÖÇóµ÷¼Á
ÒѾÓÐ3È˻ظ´
085600²ÄÁÏÓ뻯¹¤µ÷¼Á
ÒѾÓÐ11È˻ظ´
335·Ö | ²ÄÁÏÓ뻯¹¤×¨Ë¶ | GPA 4.07 | ÓпÆÑоÀú
ÒѾÓÐ3È˻ظ´
Ò»Ö¾Ô¸ÎäÀí²ÄÁϹ¤³Ì348Çóµ÷¼Á
ÒѾÓÐ9È˻ظ´
279·ÖÇóµ÷¼Á Ò»Ö¾Ô¸211
ÒѾÓÐ18È˻ظ´
0703»¯Ñ§Çóµ÷¼Á
ÒѾÓÐ5È˻ظ´
²ÄÁÏ292µ÷¼Á
ÒѾÓÐ3È˻ظ´
Ò»Ö¾Ô¸ÉÂʦ´óÉúÎïѧ071000£¬298·Ö£¬Çóµ÷¼Á
ÒѾÓÐ3È˻ظ´
306Çó0703µ÷¼ÁÒ»Ö¾Ô¸»ªÖÐʦ·¶
ÒѾÓÐ7È˻ظ´
» ±¾Ö÷ÌâÏà¹ØÉ̼ÒÍÆ¼ö: (ÎÒÒ²ÒªÔÚÕâÀïÍÆ¹ã)
» ±¾Ö÷ÌâÏà¹Ø¼ÛÖµÌùÍÆ¼ö£¬¶ÔÄúͬÑùÓаïÖú:
ÔÚ×ßÏò½²Ì¨Ö®Ç°
ÒѾÓÐ15È˻ظ´

chenrenhuan
Ìú¸Ëľ³æ (ÖªÃû×÷¼Ò)
×îÇ¿µÄθ
- Ó¦Öú: 95 (³õÖÐÉú)
- ½ð±Ò: 7159.1
- É¢½ð: 2881
- ºì»¨: 28
- ɳ·¢: 7
- Ìû×Ó: 5917
- ÔÚÏß: 1130.9Сʱ
- ³æºÅ: 2434383
- ×¢²á: 2013-04-24
- ÐÔ±ð: GG
- רҵ: »úе¹¤³Ì

2Â¥2015-11-21 16:15:50
chenrenhuan
Ìú¸Ëľ³æ (ÖªÃû×÷¼Ò)
×îÇ¿µÄθ
- Ó¦Öú: 95 (³õÖÐÉú)
- ½ð±Ò: 7159.1
- É¢½ð: 2881
- ºì»¨: 28
- ɳ·¢: 7
- Ìû×Ó: 5917
- ÔÚÏß: 1130.9Сʱ
- ³æºÅ: 2434383
- ×¢²á: 2013-04-24
- ÐÔ±ð: GG
- רҵ: »úе¹¤³Ì

3Â¥2015-11-21 18:21:08
peterflyer
ľ³æÖ®Íõ (ÎÄѧ̩¶·)
peterflyer
- ÊýѧEPI: 10
- Ó¦Öú: 20282 (Ժʿ)
- ½ð±Ò: 146169
- ºì»¨: 1374
- Ìû×Ó: 93091
- ÔÚÏß: 7694.3Сʱ
- ³æºÅ: 1482829
- ×¢²á: 2011-11-08
- ÐÔ±ð: GG
- רҵ: ¹¦ÄÜÌÕ´É
¡¾´ð°¸¡¿Ó¦Öú»ØÌû
¡ï ¡ï ¡ï ¡ï ¡ï ¡ï ¡ï ¡ï ¡ï ¡ï
¸Ðл²ÎÓ룬ӦÖúÖ¸Êý +1
chenrenhuan: ½ð±Ò+10, ¡ï¡ï¡ï¡ï¡ï×î¼Ñ´ð°¸, ÎÒÈ¥¿´¿´£¬Êýѧ¶þûѧ¹ýÅ·À·½³Ì£¬Ð»Ð»Äã 2015-11-21 20:25:40
¸Ðл²ÎÓ룬ӦÖúÖ¸Êý +1
chenrenhuan: ½ð±Ò+10, ¡ï¡ï¡ï¡ï¡ï×î¼Ñ´ð°¸, ÎÒÈ¥¿´¿´£¬Êýѧ¶þûѧ¹ýÅ·À·½³Ì£¬Ð»Ð»Äã 2015-11-21 20:25:40
| Õâ²»¾ÍÊǵäÐ͵ÄÅ·À·½³ÌÂÊéÉÏÓÐÏֳɹ«Ê½Çó½âËüµÄ¡£¼òµ¥µØËµ¾ÍÊÇÏÈÁîrou=exp(t),È»ºó´úÈëÔ·½³ÌÖеõ½³£ÏµÊý΢·Ö·½³Ì£¬´Ó¶øµÃµ½Çó½â¡£ |
4Â¥2015-11-21 18:35:47
0404600213
½ð³æ (ÕýʽдÊÖ)
- Ó¦Öú: 56 (³õÖÐÉú)
- ½ð±Ò: 725.5
- É¢½ð: 2157
- ºì»¨: 23
- Ìû×Ó: 992
- ÔÚÏß: 295.6Сʱ
- ³æºÅ: 2224916
- ×¢²á: 2013-01-06
- ÐÔ±ð: GG
- רҵ: ÊýÂÛ
¡¾´ð°¸¡¿Ó¦Öú»ØÌû
¡ï ¡ï ¡ï ¡ï ¡ï ¡ï ¡ï ¡ï ¡ï ¡ï
¸Ðл²ÎÓ룬ӦÖúÖ¸Êý +1
chenrenhuan: ½ð±Ò+10, ¡ï¡ï¡ï¡ï¡ï×î¼Ñ´ð°¸, ллÄã 2015-11-21 20:26:14
¸Ðл²ÎÓ룬ӦÖúÖ¸Êý +1
chenrenhuan: ½ð±Ò+10, ¡ï¡ï¡ï¡ï¡ï×î¼Ñ´ð°¸, ллÄã 2015-11-21 20:26:14
5Â¥2015-11-21 18:42:17
0404600213
½ð³æ (ÕýʽдÊÖ)
- Ó¦Öú: 56 (³õÖÐÉú)
- ½ð±Ò: 725.5
- É¢½ð: 2157
- ºì»¨: 23
- Ìû×Ó: 992
- ÔÚÏß: 295.6Сʱ
- ³æºÅ: 2224916
- ×¢²á: 2013-01-06
- ÐÔ±ð: GG
- רҵ: ÊýÂÛ
6Â¥2015-11-21 18:48:38
peterflyer
ľ³æÖ®Íõ (ÎÄѧ̩¶·)
peterflyer
- ÊýѧEPI: 10
- Ó¦Öú: 20282 (Ժʿ)
- ½ð±Ò: 146169
- ºì»¨: 1374
- Ìû×Ó: 93091
- ÔÚÏß: 7694.3Сʱ
- ³æºÅ: 1482829
- ×¢²á: 2011-11-08
- ÐÔ±ð: GG
- רҵ: ¹¦ÄÜÌÕ´É
7Â¥2015-11-21 18:49:58
peterflyer
ľ³æÖ®Íõ (ÎÄѧ̩¶·)
peterflyer
- ÊýѧEPI: 10
- Ó¦Öú: 20282 (Ժʿ)
- ½ð±Ò: 146169
- ºì»¨: 1374
- Ìû×Ó: 93091
- ÔÚÏß: 7694.3Сʱ
- ³æºÅ: 1482829
- ×¢²á: 2011-11-08
- ÐÔ±ð: GG
- רҵ: ¹¦ÄÜÌÕ´É
8Â¥2015-11-21 18:54:12













ºó±ßÁ½Ïî·Ö×Ó¶¼ÊÇ9£¬Êý×־𣡣²»ÊÇʲôQ¡£¡££¬ÊéÉÏ´ð°¸ÊÇf=Ap^4+Bp^2+C+Dp^-2,ABCDΪ´ý¶¨ÏµÊý
»Ø¸´´ËÂ¥