| 查看: 1540 | 回复: 20 | |
| 当前只显示满足指定条件的回帖,点击这里查看本话题的所有回帖 | |
lvseshijie金虫 (正式写手)
|
[求助]
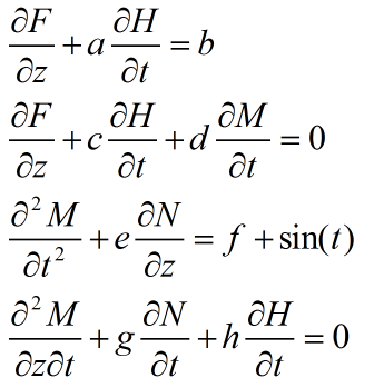
像这种偏微分方程组怎么求解啊,求高手们看看 已有1人参与
|
|
|
|
|
16楼2016-01-26 23:25:21
|
|
| 查看全部 21 个回答 | |
WashingGong金虫 (著名写手)
|
|
|
2楼2015-11-15 22:12:14
|
|
lvseshijie金虫 (正式写手)
|
|
|
3楼2015-11-16 10:06:56
|
|
lvseshijie金虫 (正式写手)
|
|
|
4楼2015-11-16 10:10:27
|
|













回复此楼