| 查看: 7293 | 回复: 8 | ||
[求助]
平面四节点,八节点四边形等参单元形函数推导 已有2人参与
|
|
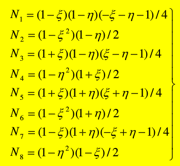
平面四节点,八节点四边形等参单元形函数推导,好多书上都是直接给出结果,没有过程。http://muchongimg.xmcimg.com/data/b ... _1447548559_283.png http://muchongimg.xmcimg.com/data/b ... _1447548559_283.png QQ图片20151114221754.png QQ图片20151114221815.png |
» 猜你喜欢
080200机械工程257求调剂B区
已经有1人回复
求调剂,认真踏实,吃苦耐劳,有科研潜力
已经有0人回复
机械工程论文润色/翻译怎么收费?
已经有263人回复
0858能源动力求B区调剂,动力工程也可以!
已经有0人回复
关于Chinese Journal of Aeronautics期刊收不收版面费的投稿求助贴
已经有0人回复
380,求调剂
已经有1人回复
学硕080200 315分 求调剂 2026年安徽省优秀毕业生
已经有0人回复
调剂 动力工程322 一志愿中石油华东
已经有2人回复
机械专硕求调剂
已经有0人回复
求调剂,总分391
已经有3人回复
» 本主题相关价值贴推荐,对您同样有帮助:
关于deform6.1做金属热成型的实例及deform快捷键的使用和deform入门教程
已经有7人回复
食品药品监管总局关于开展2014年全国安全用药月活动的通知
已经有1人回复
8天学会Ansys命令流
已经有5人回复
CAD绘图经验交流
已经有188人回复
ansys有限元分析教程
已经有3人回复
等参单元的质量矩阵是怎么样的
已经有2人回复
【转帖】国家一级设计师十年用CAD精髓3
已经有21人回复
xhtxzxs
木虫 (正式写手)
- 应助: 14 (小学生)
- 金币: 2475.9
- 散金: 430
- 红花: 6
- 帖子: 834
- 在线: 86小时
- 虫号: 2005895
- 注册: 2012-09-16
- 专业: 机械结构强度学
2楼2015-11-15 10:01:23
3楼2015-11-15 10:39:24
peterflyer
木虫之王 (文学泰斗)
peterflyer
- 机械EPI: 4
- 应助: 20282 (院士)
- 金币: 146144
- 红花: 1374
- 帖子: 93091
- 在线: 7694.3小时
- 虫号: 1482829
- 注册: 2011-11-08
- 性别: GG
- 专业: 功能陶瓷
4楼2015-11-15 11:07:51
xhtxzxs
木虫 (正式写手)
- 应助: 14 (小学生)
- 金币: 2475.9
- 散金: 430
- 红花: 6
- 帖子: 834
- 在线: 86小时
- 虫号: 2005895
- 注册: 2012-09-16
- 专业: 机械结构强度学
【答案】应助回帖
★ ★ ★ ★ ★ ★ ★ ★ ★ ★ ★ ★ ★ ★ ★ ★ ★ ★ ★ ★
miyingv: 金币+20, ★★★★★最佳答案, 谢谢 2015-11-15 14:20:26
miyingv: 金币+20, ★★★★★最佳答案, 谢谢 2015-11-15 14:20:26
|
推导一下就好 发自小木虫Android客户端 |
5楼2015-11-15 11:21:43
6楼2015-11-15 14:56:24
7楼2015-11-15 15:05:51
8楼2015-12-17 10:28:50
yaodunrong
铜虫 (初入文坛)
- 应助: 0 (幼儿园)
- 金币: 187.3
- 帖子: 35
- 在线: 3.6小时
- 虫号: 26516215
- 注册: 2021-06-02
- 性别: GG
- 专业: 交通工程
9楼2022-03-14 10:27:41













回复此楼
50