| 查看: 1137 | 回复: 11 | |
| 当前只显示满足指定条件的回帖,点击这里查看本话题的所有回帖 | |
[求助]
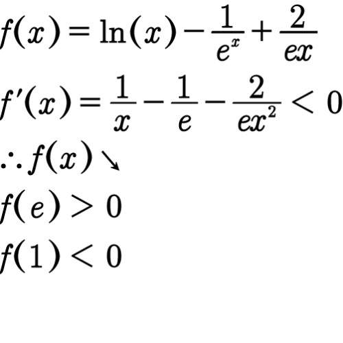
数学高考题,救助!!! 已有1人参与
|
|
|
|
|
![]() |
|
|
9楼2015-11-20 14:53:17
|
|
| 查看全部 12 个回答 | |
|
2楼2015-11-04 18:01:13
|
|
|
3楼2015-11-19 20:51:42
|
|
|
4楼2015-11-19 20:52:10
|
|













回复此楼

10