| 查看: 947 | 回复: 3 | |
dllgwgb至尊木虫 (著名写手)
|
[求助]
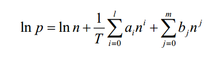
1st opt 拟合求助 重谢!! 已有1人参与
|
![]() |
|
|
|
|
dingd铁杆木虫 (职业作家)
|
|
|
2楼2015-10-22 20:49:52
|
|
dllgwgb至尊木虫 (著名写手)
|
|
![]() |
|
|
3楼2015-10-22 21:52:00
|
|
dingd铁杆木虫 (职业作家)
|
|
|
4楼2015-10-22 22:29:56
|
|














回复此楼