| ²é¿´: 1007 | »Ø¸´: 6 | ||
2008440297гæ (³õÈëÎÄ̳)
|
[ÇóÖú]
ΪʲôÎÒµÄÂÁºÏ½ðÑô¼«¼«»¯×ö³öÀ´ºÍ±ðÈ˵ÄͼÐÎÊÇ·´µÄ£¿ ÒÑÓÐ2È˲ÎÓë
|
|
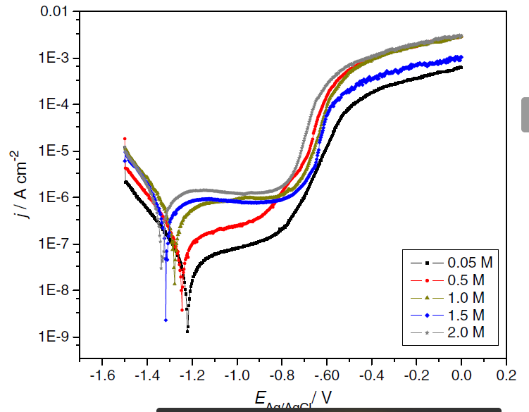
ÎÒ×Ô¼ºµÄͼÐÎÒõ¼«²¿·Ö³öÏÖ¶Û»¯Çø£¬³É·ÖÊÇÂÁºÏ½ð£¬×öµÄÊÇÑô¼«¼«»¯£¬Çø¼ä-2~-0.2V µ«ÊǺÍÎÒ¿´µ½µÄÎÄÏ×ÖеÄͼÐÎÕýºÃÊÇ·´µÄ£¬ÕâÊÇʲôÔÒò°¡£¬²»¶®°¡£¬Çó¸÷λ³æÓѰï°ïæ°¡ ÎÒ×Ô¼ºµÄͼÐÎ.png ±ðÈËͼƬ.png |
» ²ÂÄãϲ»¶
070300 Çóµ÷¼Á
ÒѾÓÐ1È˻ظ´
ÉîÛÚ´óѧ¸ßµÈÑо¿ÔºÕÔΰ¿ÎÌâ×éÕÐÊÕ»¯Ñ§µ÷¼ÁÉú
ÒѾÓÐ3È˻ظ´
ÎïÀí»¯Ñ§ÂÛÎÄÈóÉ«/·ÒëÔõôÊÕ·Ñ?
ÒѾÓÐ225È˻ظ´
Çൺ´óѧ¹Ì̬µç³ØÑо¿ÍŶÓÕÐÊÕ²ÄÁÏ¡¢»¯Ñ§¡¢ÎïÀíµÈ·½Ïò²©Ê¿Ñо¿Éú
ÒѾÓÐ32È˻ظ´
»¯Ñ§¹¤³Ì085602 305·ÖÇóµ÷¼Á
ÒѾÓÐ17È˻ظ´
È£²¡ÓëÑÀÖܲ¡µÄ±íÊö
ÒѾÓÐ1È˻ظ´
070300»¯Ñ§Çóµ÷¼Á
ÒѾÓÐ12È˻ظ´
Î人·ÄÖ¯´óѧȫ¹úÖØµãʵÑéÊÒÑîÓ¦¿ü½ÌÊÚÍŶÓÄâÕÐ17-19λ˶²©Éú£¡
ÒѾÓÐ0È˻ظ´
²ÄÁÏÓ뻯¹¤×¨Ë¶½ÓÊÜ¿çרҵµ÷¼Á£¨ÖØÇìÊÐÊô¸ßУ£©
ÒѾÓÐ0È˻ظ´
Î人·ÄÖ¯´óѧȫ¹úÖØµãʵÑéÊÒÑîÓ¦¿ü½ÌÊÚÍŶÓÄâÕÐ17-19λ˶²©Éú£¡
ÒѾÓÐ0È˻ظ´
070300 »¯Ñ§Ñ§Ë¶ ³õÊÔ357·Ö bÇøÇóµ÷¼Á
ÒѾÓÐ1È˻ظ´
» ±¾Ö÷ÌâÏà¹Ø¼ÛÖµÌùÍÆ¼ö£¬¶ÔÄúͬÑùÓаïÖú:
Ïû³ý´ß»¯Áã»Ø¸´£¬¸Ðл³æÓÑÀ´½»Á÷£¨¶þÊ®Áù£©
ÒѾÓÐ4È˻ظ´
Ñô¼«¸²Ä¤
ÒѾÓÐ11È˻ظ´
Çë½ÌÑô¼«Ñõ»¯µÄÏà¹ØÖªÊ¶¡ª¡ª¡ª¡ªÌØÀý
ÒѾÓÐ4È˻ظ´
ÂÁºÏ½ðÑô¼«Ñõ»¯
ÒѾÓÐ14È˻ظ´
µç½âÅ×¹âÂÁºÏ½ðµÄÑô¼«´¦Àí
ÒѾÓÐ6È˻ظ´
Ñô¼«¸²Ä¤
ÒѾÓÐ2È˻ظ´
ÇóÖúÂÁºÏ½ðµç½âÅ׹⡢Ñô¼«¸²Ä¤
ÒѾÓÐ1È˻ظ´
ɽ¶«¸ß¿¼»¯Ñ§Ñо¿
ÒѾÓÐ4È˻ظ´
ÂÁºÏ½ðÎþÉüÑô¼«·âÑù̽¾¿
ÒѾÓÐ5È˻ظ´
ÂÁºÏ½ðÓ²ÖÊÑô¼«Ñõ»¯Ä¤µÄÏÔ΢Ӳ¶È ²â¶¨
ÒѾÓÐ2È˻ظ´
¹ØÓÚÂÁºÏ½ð½ðÏ࣬À§ÈÅÎҺþÃÁË£¬´ó¼Ò°ïæŶ
ÒѾÓÐ33È˻ظ´
2008440297
гæ (³õÈëÎÄ̳)
- Ó¦Öú: 0 (Ó×¶ùÔ°)
- Ìû×Ó: 17
- ÔÚÏß: 14.7Сʱ
- ³æºÅ: 1103449
- ×¢²á: 2010-09-19
- רҵ: ½ðÊô²ÄÁϱíÃæ¿ÆÑ§Ó빤³Ì
2Â¥2015-10-09 09:40:33
chaos_424
ͳæ (СÓÐÃûÆø)
- Ó¦Öú: 0 (Ó×¶ùÔ°)
- ½ð±Ò: 38.7
- É¢½ð: 6
- Ìû×Ó: 70
- ÔÚÏß: 62.6Сʱ
- ³æºÅ: 4190058
- ×¢²á: 2015-11-02
- ÐÔ±ð: GG
- רҵ: º£Ñ󹤳Ì
3Â¥2015-11-23 21:19:40
goshen
Ìú¸Ëľ³æ (Ö°Òµ×÷¼Ò)
- Ó¦Öú: 88 (³õÖÐÉú)
- ½ð±Ò: 14778
- É¢½ð: 51
- ºì»¨: 25
- ɳ·¢: 1
- Ìû×Ó: 3351
- ÔÚÏß: 1642Сʱ
- ³æºÅ: 119729
- ×¢²á: 2005-11-28
- ÐÔ±ð: GG
- רҵ: ½ðÊô²ÄÁϵÄÖÆ±¸¿ÆÑ§Óë¿çѧ
¡¾´ð°¸¡¿Ó¦Öú»ØÌû
|
µÚÒ»£¬Äã²»ÓÃ×öÄÇô¸ºµÄµçλ£»µÚ¶þ£¬ÄãµÄÂÁºÏ½ðÒõ¼«Ò²²»ÊǶۻ¯£ºÄã¿´¿´ÄÄÓÐ1mA/cm2µÄά¶ÛµçÁ÷£¿Î¬¶ÛµçÁ÷ÔõôҲӦ¸Ãά³ÖÔÚ1uA/cm2µÄÑù×Ó£¬ÄãÄǸö¶«Î÷½Ð×öÑõŨ²îÀ©É¢¼«ÏÞµçÁ÷£»µÚÈý£¬ÄãµÄÂÁºÏ½ð²»»á³öÏÖ¶Û»¯Çø£¬Äã¿´¿´ÄãµÄÇúÏßµÄÑô¼«¼«»¯ÂÊ£¬ÍêÈ«ÊǷdz£ÓÅÐãµÄÎþÉüÑô¼«²ÄÁÏ£¬²»¿ÉÄܶۻ¯¡£ ×ܽ᣺³öÏÖÄãµÄÇúÏßµÄÏÖÏó£¬ÓÐÁ½ÖÖ¿ÉÄÜ 1£©ÄãµÄ²ÄÁϺͱðÈ˵IJ»Ò»Ñù£¬ 2£©ÓпÉÄܲâÊÔÌõ¼þ²»ÕýÈ·¡£ µ«ÊÇËæÖ®¶øÀ´µÄÎÊÌâÊÇÎþÉüÑô¼«µÄ¿ªÂ·µçλ²»¿ÉÄÜÊÇ0.6V£¬Ã÷ÏÔÊÇÂÁºÏ½ðµÄµçλ¡£Î¨Ò»µÄ¿ÉÄܾÍÊÇÄãµÄʵÑéû×öºÃ¡£ |

4Â¥2015-11-25 21:05:09
½£³öÇÊÎÞ·æ
½ð³æ (ÕýʽдÊÖ)
- Ó¦Öú: 2 (Ó×¶ùÔ°)
- ½ð±Ò: 2099.9
- Ìû×Ó: 406
- ÔÚÏß: 48.8Сʱ
- ³æºÅ: 4007241
- ×¢²á: 2015-08-05
- רҵ: ¼¯³Éµç·Éè¼ÆÓë²âÊÔ
5Â¥2015-11-28 18:50:56
goshen
Ìú¸Ëľ³æ (Ö°Òµ×÷¼Ò)
- Ó¦Öú: 88 (³õÖÐÉú)
- ½ð±Ò: 14778
- É¢½ð: 51
- ºì»¨: 25
- ɳ·¢: 1
- Ìû×Ó: 3351
- ÔÚÏß: 1642Сʱ
- ³æºÅ: 119729
- ×¢²á: 2005-11-28
- ÐÔ±ð: GG
- רҵ: ½ðÊô²ÄÁϵÄÖÆ±¸¿ÆÑ§Óë¿çѧ

6Â¥2015-11-28 20:06:52
dhsbnsmsm
гæ (³õÈëÎÄ̳)
- Ó¦Öú: 0 (Ó×¶ùÔ°)
- ½ð±Ò: 19
- Ìû×Ó: 4
- ÔÚÏß: 5.9Сʱ
- ³æºÅ: 25449065
- ×¢²á: 2021-02-27
- רҵ: ´«¶¯»úеѧ
7Â¥2023-03-19 21:42:04














»Ø¸´´ËÂ¥