| 查看: 213 | 回复: 0 | ||
jxls231899木虫 (小有名气)
|
[求助]
最近看篇文献有些迷惑,求有机或者无机的大神解惑,谢谢!
|
|
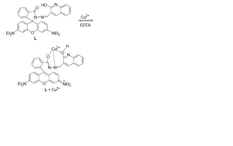
最近在看一些基于罗丹明结构的染料的on-off探针的文章,其中有篇提到一种探针与铜离子结合后产生较强的紫外可见吸收,如图所示,我知道探针与金属离子作用后会产生光诱导电子转移现象,但是为什么是产生紫外可见吸收而非荧光恢复呢?望有机或者无机的大神帮忙解惑,不胜感谢! 123.jpg |
» 猜你喜欢
武汉纺织大学-材料科学与工程学院-姜伟杰青团队-招生物方向调剂
已经有0人回复
武汉纺织大学-材料科学与工程学院-招 生物方向 硕士!
已经有0人回复
有机高分子材料论文润色/翻译怎么收费?
已经有168人回复
武汉纺织大学-材料科学与工程学院-姜伟杰青团队-招生物方向调剂
已经有0人回复
[武汉纺织大学]材料学院[姜伟团队名称]课题组-2026年硕士研究生调剂信息
已经有0人回复
武汉纺织大学-材料科学与工程学院-姜伟杰青团队-招调剂
已经有0人回复
生物医学材料前沿科普:低密度、高孔隙率的“多孔微球”核心技术与应用全景
已经有1人回复
湖南工业大学周贵寅组招生物医学工程(学硕07、08都行)、生物与医药(专硕08)硕士生
已经有0人回复
湖南工业大学周贵寅组招生物医学工程(学硕07、08都行)和生物与医药(专硕08)硕士生
已经有0人回复
考研求调剂
已经有0人回复
2026年中南民族大学化学与材料科学学院调剂公告
已经有18人回复














回复此楼