| 查看: 596 | 回复: 2 | ||
sheshou123新虫 (著名写手)
|
[求助]
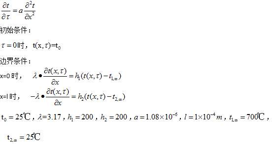
微分方程求解 已有1人参与
|
|
|
|
||
peterflyer
|
【答案】应助回帖
感谢参与,应助指数 +1
|
|
|
2楼2015-09-29 13:49:07
|
|
|
tingyiliu金虫 (初入文坛)
|
||
![]() |
||
|
3楼2015-09-29 17:34:15
|
|














回复此楼
