| 查看: 1900 | 回复: 8 | |||
| 当前只显示满足指定条件的回帖,点击这里查看本话题的所有回帖 | |||
xzh410512206银虫 (小有名气)
|
[求助]
关于Materials Studio(MS)和g09,固定角度优化有机分子,哪个精确?? 已有1人参与
|
||
|
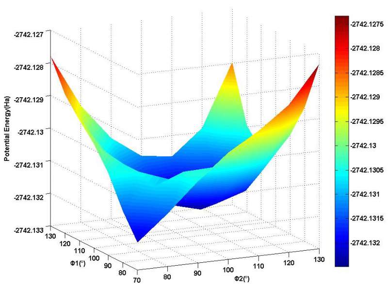
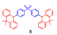
如图8所示分子结构,我是用g09固定一边的角度,扫描了另一边,可是我家导师一直建议我用MS的Forcite模块算, 你们有谁用过MS分子力场扫描这种小分子的二面角吗??或者有见过用MS算有机小分子的文献吗?? 恳请赐教。。 8.png |
» 猜你喜欢
基元I理论下三大核心空间现象精准推导与细节解析
已经有0人回复
基于基元 I 统一理论的反重力理论推导
已经有0人回复
物理学I论文润色/翻译怎么收费?
已经有278人回复
基于基元I统一理论的量子力学本源推导
已经有1人回复
推荐一款可以AI辅助写作的Latex编辑器SmartLatexEditor,超级好用,AI润色,全免费
已经有20人回复
【EI|Scopus 双检索】第六届智能机器人系统国际会议(ISoIRS 2026)
已经有0人回复
2026年第四届电动车与车辆工程国际会议(CEVVE 2026)
已经有0人回复
» 本主题相关商家推荐: (我也要在这里推广)
月只蓝
主管区长 (职业作家)
-

专家经验: +1059 - 计算强帖: 8
- 应助: 1712 (讲师)
- 贵宾: 8.888
- 金币: 68125.7
- 散金: 1938
- 红花: 443
- 沙发: 4
- 帖子: 4373
- 在线: 3291.4小时
- 虫号: 1122189
- 注册: 2010-10-14
- 专业: 宇宙学
- 管辖: 计算模拟区

3楼2015-09-25 14:28:45
xzh410512206
银虫 (小有名气)
- 应助: 1 (幼儿园)
- 金币: 457.2
- 散金: 10
- 帖子: 127
- 在线: 75.4小时
- 虫号: 2630841
- 注册: 2013-09-02
- 专业: 应用有机化学
2楼2015-09-25 14:22:00
xzh410512206
银虫 (小有名气)
- 应助: 1 (幼儿园)
- 金币: 457.2
- 散金: 10
- 帖子: 127
- 在线: 75.4小时
- 虫号: 2630841
- 注册: 2013-09-02
- 专业: 应用有机化学
4楼2015-09-25 14:36:33
月只蓝
主管区长 (职业作家)
-

专家经验: +1059 - 计算强帖: 8
- 应助: 1712 (讲师)
- 贵宾: 8.888
- 金币: 68125.7
- 散金: 1938
- 红花: 443
- 沙发: 4
- 帖子: 4373
- 在线: 3291.4小时
- 虫号: 1122189
- 注册: 2010-10-14
- 专业: 宇宙学
- 管辖: 计算模拟区

5楼2015-09-25 14:39:30













回复此楼