| ²é¿´: 1239 | »Ø¸´: 5 | ||
htiejiangÒø³æ (ÕýʽдÊÖ)
|
[ÇóÖú]
fortran ÔõÑùÇó½âº¬Óлý·ÖµÄ·½³ÌµÄ¸ù£¨×飩 ÒÑÓÐ1È˲ÎÓë
|
|
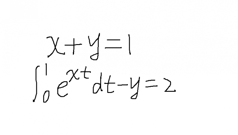
ÈçͼËùʾ£¬ÔõÑùÇó½âº¬Óлý·ÖµÄ·½³Ì×é¡£Ò»°ãµÄ·½³Ì°üÀ¨ÏßÐԵĺͷÇÏßÐԵͼºÃ½â¡£µ«ÊÇÕâÖÖ´øÓлý·ÖµÄÔõÑùÇó°¡¡£ÒòΪҪÊýÖµÇó»ý·Ö£¬ Òª¸ø¶¨xÖµ²ÅÄÜ»ý·Ö£¬µ«ÊÇxÖµÊÇÒªÇóµÄ¸ù¡£¸Ð¾õÌ«¼¬ÊÖÁË¡£ ÎÞ±êÌâ.png |
» ²ÂÄãϲ»¶
¡¾Çóµ÷¼Á¡¿ÐÂÄÜÔ´²ÄÁϱ¾¿Æ£¬Ò»Ö¾Ô¸211£¬³õÊÔ321
ÒѾÓÐ3È˻ظ´
²ÄÁÏ¿¼Ñе÷¼Á
ÒѾÓÐ3È˻ظ´
²ÄÁϵ÷¼Á
ÒѾÓÐ12È˻ظ´
Ó¢Ò»ÊýÒ»408£¬×Ü·Ö284£¬¶þÕ½Õæ³ÏÇóµ÷¼Á
ÒѾÓÐ14È˻ظ´
085410 Ò»Ö¾Ô¸211 22408·ÖÊý359Çóµ÷¼Á
ÒѾÓÐ4È˻ظ´
271Çóµ÷¼Á
ÒѾÓÐ19È˻ظ´
385·Ö ÉúÎïѧ£¨071000£©Çóµ÷¼Á
ÒѾÓÐ3È˻ظ´
Ò»Ö¾Ô¸°²»Õ´óѧ¼ÆËã»ú¿ÆÑ§Óë¼¼Êõѧ˶£¬331·ÖÇóµ÷¼Á
ÒѾÓÐ3È˻ظ´
318Çóµ÷¼Á£¬¼ÆËã²ÄÁÏ·½Ïò
ÒѾÓÐ8È˻ظ´
291Çóµ÷¼Á
ÒѾÓÐ25È˻ظ´
» ±¾Ö÷ÌâÏà¹Ø¼ÛÖµÌùÍÆ¼ö£¬¶ÔÄúͬÑùÓаïÖú:
ÇëÎÊÔõÑù²é¿´fortranµÄÄÚÖú¯Êý£¿
ÒѾÓÐ2È˻ظ´
FortranÔõÑùÖ»¶ÁÈ¡Êý×Ö£¬ÔÚÒ»ÐÐÖмÈÓÐÊý×Ö£¬ÓÖÓÐ×Ö·ûµÄÇé¿öÏ£¿
ÒѾÓÐ1È˻ظ´
fortranÓïÑÔÔõÑùÌáÈ¡ÕûÊýÖеÄÊý×Ö
ÒѾÓÐ3È˻ظ´
ubuntuϵͳÏÂfortranµÄ°²×°¼°ÔËÐÐ
ÒѾÓÐ4È˻ظ´
fortran³ÌÐò
ÒѾÓÐ13È˻ظ´
fortran¼ÆËã³öÀ´µÄÊý¾Ý£¬µ¼Èëoriginʱºò»á³öÏÖÏÂÃæÇé¿öÔõÑù½â¾ö
ÒѾÓÐ6È˻ظ´
ÓÃfortran ÔõÑù×öÖ÷Öµ»ý·Ö
ÒѾÓÐ1È˻ظ´
fortran ÈçºÎ»ñÈ¡±äÁ¿Ãû³Æ
ÒѾÓÐ5È˻ظ´
abaqusµ÷ÓÃfortranʱ£¬ÈÃfortran²¢ÐÐÔËËã
ÒѾÓÐ6È˻ظ´
MatlabÓëFortranµÄ¿ÆÑ§¼ÆÊý·¨
ÒѾÓÐ8È˻ظ´
fortran£¬gfortran£¬code block
ÒѾÓÐ10È˻ظ´
ÔõÑù°ÑfortranÔËÐнá¹û±£´æ»òÕßµ¼³ö
ÒѾÓÐ1È˻ظ´
ÔõÑù½«FortranµÄ½á¹ûµ¼³öµ½Ö¸¶¨ÎļþÖÐ
ÒѾÓÐ2È˻ظ´
fortran³ÌÐòÔõÑùµ÷ÓÃlapack¿â½øÐоØÕó¶Ô½Ç»¯£¿
ÒѾÓÐ7È˻ظ´
FortranµÄ¸ñʽ»¯ÊäÈëÊä³öÎÊÌâ
ÒѾÓÐ14È˻ظ´
Compaq.Visual.Fortran.Version.6.6ÔõÑù°²×°£¿
ÒѾÓÐ7È˻ظ´
¡¾ÇóÖú¡¿ÇóÖ¸µã£¬ÔÚFortranÀïÃæ£¬ÔõÑùʵÏÖ¡°Êý×éά¶È¿Éµ÷¡±µÄÊý×é?
ÒѾÓÐ5È˻ظ´
¡¾ÇóÖú¡¿ÔõÑùreinstall the Intel(R) Fortran Compiler Professional Edition
ÒѾÓÐ6È˻ظ´
skʱ¿Õ
гæ (СÓÐÃûÆø)
- Ó¦Öú: 1 (Ó×¶ùÔ°)
- ½ð±Ò: 2078.8
- É¢½ð: 20
- ºì»¨: 3
- Ìû×Ó: 140
- ÔÚÏß: 40.3Сʱ
- ³æºÅ: 3273422
- ×¢²á: 2014-06-14
- רҵ: Ô×ӺͷÖ×ÓÎïÀí
2Â¥2015-09-20 08:58:12
htiejiang
Òø³æ (ÕýʽдÊÖ)
- Ó¦Öú: 2 (Ó×¶ùÔ°)
- ½ð±Ò: 297.5
- É¢½ð: 601
- ºì»¨: 18
- Ìû×Ó: 672
- ÔÚÏß: 104.5Сʱ
- ³æºÅ: 2681660
- ×¢²á: 2013-09-26
- ÐÔ±ð: GG
- רҵ: Äý¾Û̬ÎïÐÔ II £ºµç×ӽṹ
3Â¥2015-09-20 09:19:08
skʱ¿Õ
гæ (СÓÐÃûÆø)
- Ó¦Öú: 1 (Ó×¶ùÔ°)
- ½ð±Ò: 2078.8
- É¢½ð: 20
- ºì»¨: 3
- Ìû×Ó: 140
- ÔÚÏß: 40.3Сʱ
- ³æºÅ: 3273422
- ×¢²á: 2014-06-14
- רҵ: Ô×ӺͷÖ×ÓÎïÀí
|
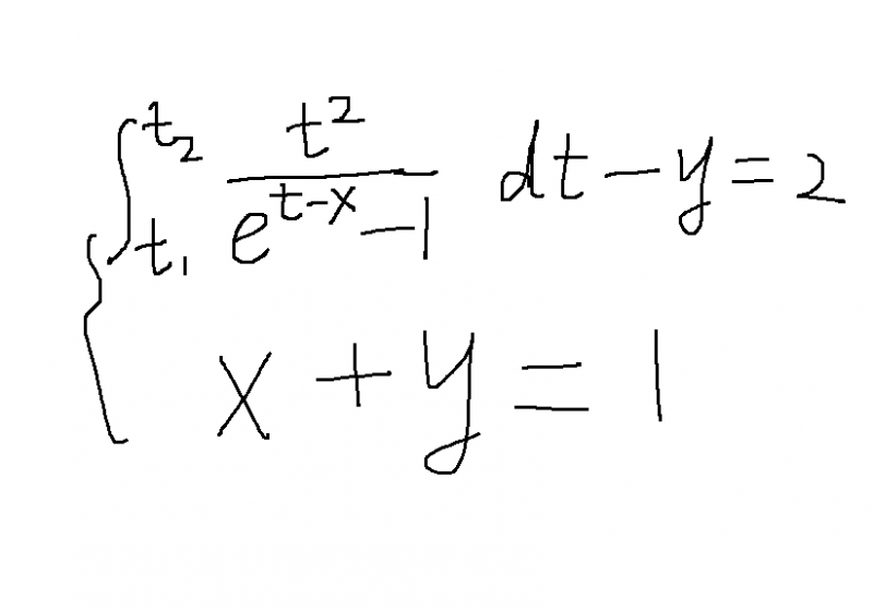
Ò»ÑùµÄ£¬ºÍÇóÆÕͨµÄ·½³ÌµÄ·½·¨Ò»Ñù£¬ÄǸö»ý·Ö¾ÍÊǹØÓÚxµÄÒÑÖªµÄº¯Êý¡£Ö»²»¹ý±í´ïÆðÀ´Âé·³¡£ÓÃÆÕͨ·½·¨£¨±ÈÈçÅ£¶ÙÇÐÏß·¨£©Ç󷽳̵ÄʱºòxÊÇÏȼٶ¨Ò»¸ö³õÖµ£¬È»ºóÔÙ½øÒ»²½¼ÆËãÊÕÁ²¡£ ·¢×ÔСľ³æAndroid¿Í»§¶Ë |
4Â¥2015-09-20 09:32:39
dingd
Ìú¸Ëľ³æ (Ö°Òµ×÷¼Ò)
- Ó¦Öú: 1641 (½²Ê¦)
- ½ð±Ò: 15037.3
- É¢½ð: 101
- ºì»¨: 234
- Ìû×Ó: 3410
- ÔÚÏß: 1223.7Сʱ
- ³æºÅ: 291104
- ×¢²á: 2006-10-28
¡¾´ð°¸¡¿Ó¦Öú»ØÌû
¡ï ¡ï ¡ï
¸Ðл²ÎÓ룬ӦÖúÖ¸Êý +1
htiejiang: ½ð±Ò+3, ¡ï¡ï¡ïºÜÓаïÖú 2015-09-20 16:20:28
¸Ðл²ÎÓ룬ӦÖúÖ¸Êý +1
htiejiang: ½ð±Ò+3, ¡ï¡ï¡ïºÜÓаïÖú 2015-09-20 16:20:28
|
t1=0£¬ t2=1 x: 3.36036574411926 y: -2.36036574411906 |
5Â¥2015-09-20 10:32:48
htiejiang
Òø³æ (ÕýʽдÊÖ)
- Ó¦Öú: 2 (Ó×¶ùÔ°)
- ½ð±Ò: 297.5
- É¢½ð: 601
- ºì»¨: 18
- Ìû×Ó: 672
- ÔÚÏß: 104.5Сʱ
- ³æºÅ: 2681660
- ×¢²á: 2013-09-26
- ÐÔ±ð: GG
- רҵ: Äý¾Û̬ÎïÐÔ II £ºµç×ӽṹ
6Â¥2015-09-20 16:21:01














»Ø¸´´ËÂ¥