| 查看: 1644 | 回复: 15 | ||
[求助]
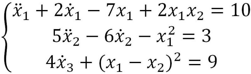
3自由度非线性微分方程求解!! 已有3人参与
|
||
|
|
||
| 回帖支持 ( 显示支持度最高的前 50 名 ) | ||
Jeviers银虫 (小有名气)
|
【答案】应助回帖
★ ★ ★ ★ ★ ★ ★ ★ ★ ★ ★ ★ ★ ★ ★ ★ ★ ★ ★ ★
qq935573694: 金币+20, ★★★很有帮助 2015-09-21 20:37:03
|
|
|
10楼2015-09-21 16:05:40
|
|
|
cob木虫 (正式写手)
|
【答案】应助回帖
★ ★ ★ ★ ★ ★ ★ ★ ★ ★ ★ ★ ★ ★ ★ ★ ★ ★ ★ ★
感谢参与,应助指数 +1 qq935573694: 金币+20, ★★★很有帮助 2015-09-19 20:35:15
|
|
|
2楼2015-09-18 19:37:26
|
|
|
dingd铁杆木虫 (职业作家)
|
||
|
3楼2015-09-19 09:23:10
|
|
|
|
4楼2015-09-19 12:03:32
|
|
|
Jeviers银虫 (小有名气)
|
||
|
14楼2015-09-22 10:22:44
|
|
|
|
15楼2015-09-22 10:48:00
|
|
|
| 普通回帖 | ||
|
5楼2015-09-19 20:35:46
|
|
|
|
6楼2015-09-20 13:50:55
|
|
|
Jeviers银虫 (小有名气)
|
【答案】应助回帖
★ ★ ★ ★ ★ ★ ★ ★ ★ ★ ★ ★ ★ ★ ★ ★ ★ ★ ★ ★
感谢参与,应助指数 +1 qq935573694: 金币+20, ★★★很有帮助, 谢谢啊!高手! 2015-09-20 14:24:19
|
|
|
7楼2015-09-20 14:04:43
|
|
|
|
8楼2015-09-20 14:22:45
|
|
|
|
9楼2015-09-21 15:35:57
|
|
|














回复此楼
qq935573694