| ²é¿´: 336 | »Ø¸´: 1 | ||
xiangce0ľ³æ (СÓÐÃûÆø)
ѧÉú
|
[ÇóÖú]
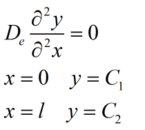
΢·Ö·½³Ì±ß½çÎÊÌâ ÒÑÓÐ1È˲ÎÓë
|
|
![]() |
||
|
|
||
peterflyer
|
¡¾´ð°¸¡¿Ó¦Öú»ØÌû
¡ï ¡ï ¡ï ¡ï ¡ï
¸Ðл²ÎÓ룬ӦÖúÖ¸Êý +1 xiangce0(feixiaolin´ú·¢): ½ð±Ò+3 2015-09-12 18:04:17 xiangce0: ½ð±Ò+2, ¡ï¡ï¡ï¡ï¡ï×î¼Ñ´ð°¸, ±§Ç¸»ØÌûÍíÁË£¬°ïÅóÓÑÎ浀 2015-09-17 09:50:04
|
|
|
2Â¥2015-09-12 17:33:22
|
|















»Ø¸´´ËÂ¥
