| 查看: 2773 | 回复: 7 | |||
凌风7388铁虫 (正式写手)
|
[交流]
matlab偏微分方程的参数估计
|
|
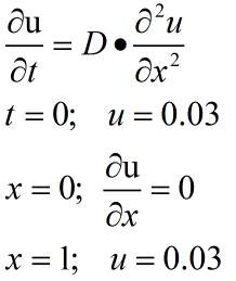
求大神告知如何用matlab对偏微分方程进行参数估计?或者有什么好的例子或书籍推荐下也行。 我现在看的黄花江那本《实用化工计算机模拟》,关于偏微分参数估计这一块讲的不是特别详细,希望能有大神给指导下,谢谢!! 附件是要求未知的参数D,希望懂的大神可以帮忙编下代码。 关于x=0时的那个微分边界条件,如果采用MOL法,该如何如何处理? 12.jpg |
» 猜你喜欢
投稿chemical physical letters不送审?
已经有2人回复
南开大学物理学院张书辉副教授招收凝聚态物理理论方向博士生、硕士生
已经有22人回复
物理学I论文润色/翻译怎么收费?
已经有171人回复
杂志要求提供official language-editing certificate
已经有4人回复
深圳大学2026年秋博士招生-物理学-活性胶体方向-高永祥课题组
已经有16人回复
论物质与能量的统一模型及物理现象解释
已经有0人回复
基于基元I统一理论的数学相关应用推导
已经有0人回复
基元I统一理论:宇宙本质、层级演化与修炼文明的本源规律
已经有1人回复
基元I理论下三大核心空间现象精准推导与细节解析
已经有0人回复
基于基元 I 统一理论的反重力理论推导
已经有0人回复
基于基元I统一理论的量子力学本源推导
已经有1人回复
月只蓝
主管区长 (职业作家)
-

专家经验: +1059 - 计算强帖: 8
- 应助: 1712 (讲师)
- 贵宾: 8.888
- 金币: 68123.7
- 散金: 1938
- 红花: 443
- 沙发: 4
- 帖子: 4373
- 在线: 3291.4小时
- 虫号: 1122189
- 注册: 2010-10-14
- 专业: 宇宙学
- 管辖: 计算模拟区

2楼2015-09-10 09:39:56
xiaochong8693
木虫之王 (文坛精英)
- 应助: 58 (初中生)
- 金币: 74326.3
- 散金: 3788
- 红花: 233
- 帖子: 47060
- 在线: 2659.5小时
- 虫号: 752823
- 注册: 2009-04-20
- 专业: 动物学
3楼2015-09-10 09:55:41
凌风7388
铁虫 (正式写手)
- 应助: 4 (幼儿园)
- 金币: 1153.2
- 散金: 72
- 红花: 5
- 帖子: 573
- 在线: 160.6小时
- 虫号: 759985
- 注册: 2009-04-29
- 专业: 化学反应工程
4楼2015-09-10 13:55:26
★ ★ ★ ★ ★ ★
小木虫: 金币+0.5, 给个红包,谢谢回帖
凌风7388: 金币+5 2015-09-11 12:06:40
小木虫: 金币+0.5, 给个红包,谢谢回帖
凌风7388: 金币+5 2015-09-11 12:06:40
|
本帖内容被屏蔽 |
5楼2015-09-11 00:03:15
阿Q~~
至尊木虫 (文坛精英)
- 应助: 77 (初中生)
- 金币: 33343.6
- 红花: 107
- 帖子: 36186
- 在线: 1028.1小时
- 虫号: 3237212
- 注册: 2014-05-27
- 性别: MM
- 专业: 宇宙学

6楼2015-09-11 06:50:17
凌风7388
铁虫 (正式写手)
- 应助: 4 (幼儿园)
- 金币: 1153.2
- 散金: 72
- 红花: 5
- 帖子: 573
- 在线: 160.6小时
- 虫号: 759985
- 注册: 2009-04-29
- 专业: 化学反应工程
7楼2015-09-11 12:06:55
Mr__Right
专家顾问 (著名写手)
-

专家经验: +31 - 应助: 317 (大学生)
- 金币: 14456.3
- 散金: 500
- 红花: 54
- 帖子: 2716
- 在线: 950.6小时
- 虫号: 1972612
- 注册: 2012-09-04
- 性别: GG
- 专业: 应用数学方法
- 管辖: 程序语言

8楼2016-02-11 20:40:15













回复此楼
