| ²é¿´: 5761 | »Ø¸´: 17 | ||||
fang2010ͳæ (ÕýʽдÊÖ)
|
[ÇóÖú]
ÓÃChemBioDrawÔõô»ÕâÑùµÄͼ ÒÑÓÐ4È˲ÎÓë
|
|||
|
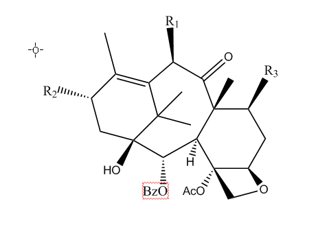
ÎÄÕÂÖеÄÕâ·ùͼÊÇÔõô»³öÀ´µÄ£¿ÓÃChemBioDraw»½á¹¹£¬¿ÉÊÇÄÇÁ½ÌõºáÏߺÍ×ó±ßµÄÃû³ÆÊÇÔõô»ÉÏÈ¥µÄÄØ£¿ 2015-09-08_094532.png |
» ²ÂÄãϲ»¶
329Çóµ÷¼Á
ÒѾÓÐ13È˻ظ´
¸´ÊÔµ÷¼Á
ÒѾÓÐ4È˻ظ´
Çóµ÷¼Á
ÒѾÓÐ3È˻ظ´
²ÄÁϵ÷¼Á
ÒѾÓÐ10È˻ظ´
292Çóµ÷¼Á
ÒѾÓÐ11È˻ظ´
Ò»Ö¾Ô¸211£¬»¯Ñ§Ñ§Ë¶£¬310·Ö£¬±¾¿ÆÖصãË«·Ç£¬Çóµ÷¼Á
ÒѾÓÐ7È˻ظ´
363Çóµ÷¼Á
ÒѾÓÐ5È˻ظ´
0703×Ü·Ö331Çóµ÷¼Á
ÒѾÓÐ4È˻ظ´
²ÄÁÏר˶(0856) 339·ÖÇóµ÷¼Á
ÒѾÓÐ3È˻ظ´
Çóµ÷¼Á
ÒѾÓÐ3È˻ظ´
» ±¾Ö÷ÌâÏà¹Ø¼ÛÖµÌùÍÆ¼ö£¬¶ÔÄúͬÑùÓаïÖú:
ÓÃChemBioDrawÔõô»³öÕâÑùµÄͼ
ÒѾÓÐ2È˻ظ´
ÓÃgaussian view Ôõô»ÕâÑùµÄ·Ö×Óͼ£¿
ÒѾÓÐ1È˻ظ´
¡¾ÇóÖú¡¿ChemBio3D±£´æµÄsybyl mol2¸ñʽÓësybyl¼æÈÝÂð£¿
ÒѾÓÐ5È˻ظ´
zheng0123
Òø³æ (СÓÐÃûÆø)
- Ó¦Öú: 18 (СѧÉú)
- ½ð±Ò: 260.2
- É¢½ð: 50
- ºì»¨: 10
- Ìû×Ó: 280
- ÔÚÏß: 43.6Сʱ
- ³æºÅ: 3031001
- ×¢²á: 2014-03-09
- ÐÔ±ð: GG
- רҵ: ÍØÆËѧ
¡¾´ð°¸¡¿Ó¦Öú»ØÌû
¡ï ¡ï
¸Ðл²ÎÓ룬ӦÖúÖ¸Êý +1
fang2010: ½ð±Ò+2 2015-09-08 10:34:35
¸Ðл²ÎÓ룬ӦÖúÖ¸Êý +1
fang2010: ½ð±Ò+2 2015-09-08 10:34:35
|
Äã²»»áÓÃûÓмýÍ·µÄ¼ýÍ·Âð£¬ÎÄ×ÖÊÇa¼ÇµÃ»»×ÖÌå ·¢×ÔСľ³æAndroid¿Í»§¶Ë |

2Â¥2015-09-08 10:07:31
fang2010
ͳæ (ÕýʽдÊÖ)
- Ó¦Öú: 0 (Ó×¶ùÔ°)
- ½ð±Ò: 364.3
- É¢½ð: 53
- Ìû×Ó: 893
- ÔÚÏß: 84.8Сʱ
- ³æºÅ: 2982326
- ×¢²á: 2014-02-21
- רҵ: »¯Ñ§ÉúÎïѧÓëÉúÎïÓлú»¯Ñ§
7Â¥2015-09-08 11:08:52
superyeast
ר¼Ò¹ËÎÊ (Ö°Òµ×÷¼Ò)
-

ר¼Ò¾Ñé: +965 - ACI: 2
- Ó¦Öú: 967 (²©ºó)
- ¹ó±ö: 0.641
- ½ð±Ò: 17460.9
- É¢½ð: 1200
- ºì»¨: 206
- Ìû×Ó: 3316
- ÔÚÏß: 312.8Сʱ
- ³æºÅ: 3322402
- ×¢²á: 2014-07-14
- ÐÔ±ð: GG
- רҵ: ÓлúºÏ³É
- ¹ÜϽ: ·ÖÎö
¡¾´ð°¸¡¿Ó¦Öú»ØÌû
¸Ðл²ÎÓ룬ӦÖúÖ¸Êý +1
|
ÏÈ»³öÍêÕû½á¹¹£¬ÔÙÓÃLasso»ò·½¿ò¹¤¾ßÑ¡ÔñOBz²¿·Ö¡£ÔڽṹÀïÑ¡×Ô¶¨Ò壬ȻºóдOBz¾ÍÐÐÁË¡£ ·¢×ÔСľ³æAndroid¿Í»§¶Ë |
9Â¥2015-09-08 11:20:35
zheng0123
Òø³æ (СÓÐÃûÆø)
- Ó¦Öú: 18 (СѧÉú)
- ½ð±Ò: 260.2
- É¢½ð: 50
- ºì»¨: 10
- Ìû×Ó: 280
- ÔÚÏß: 43.6Сʱ
- ³æºÅ: 3031001
- ×¢²á: 2014-03-09
- ÐÔ±ð: GG
- רҵ: ÍØÆËѧ

3Â¥2015-09-08 10:09:39
fang2010
ͳæ (ÕýʽдÊÖ)
- Ó¦Öú: 0 (Ó×¶ùÔ°)
- ½ð±Ò: 364.3
- É¢½ð: 53
- Ìû×Ó: 893
- ÔÚÏß: 84.8Сʱ
- ³æºÅ: 2982326
- ×¢²á: 2014-02-21
- רҵ: »¯Ñ§ÉúÎïѧÓëÉúÎïÓлú»¯Ñ§
4Â¥2015-09-08 10:34:27
fang2010
ͳæ (ÕýʽдÊÖ)
- Ó¦Öú: 0 (Ó×¶ùÔ°)
- ½ð±Ò: 364.3
- É¢½ð: 53
- Ìû×Ó: 893
- ÔÚÏß: 84.8Сʱ
- ³æºÅ: 2982326
- ×¢²á: 2014-02-21
- רҵ: »¯Ñ§ÉúÎïѧÓëÉúÎïÓлú»¯Ñ§
5Â¥2015-09-08 10:35:56
zheng0123
Òø³æ (СÓÐÃûÆø)
- Ó¦Öú: 18 (СѧÉú)
- ½ð±Ò: 260.2
- É¢½ð: 50
- ºì»¨: 10
- Ìû×Ó: 280
- ÔÚÏß: 43.6Сʱ
- ³æºÅ: 3031001
- ×¢²á: 2014-03-09
- ÐÔ±ð: GG
- רҵ: ÍØÆËѧ
¡¾´ð°¸¡¿Ó¦Öú»ØÌû
|
Äã°Ñ×Öĸ˳Ðò·´¹ýÀ´£¬±ÈÈçôÇ»ùÏÈдOÔÙ»Ç⣬´íµÄ¶¼ÊÇÒòΪд·´ÁË£¬ÄǸö»·ÑõûÁ¬µ½Á½¸ö̼ÉÏ£¬ËùÒÔ´íÁË ·¢×ÔСľ³æAndroid¿Í»§¶Ë |

6Â¥2015-09-08 10:51:31
fang2010
ͳæ (ÕýʽдÊÖ)
- Ó¦Öú: 0 (Ó×¶ùÔ°)
- ½ð±Ò: 364.3
- É¢½ð: 53
- Ìû×Ó: 893
- ÔÚÏß: 84.8Сʱ
- ³æºÅ: 2982326
- ×¢²á: 2014-02-21
- רҵ: »¯Ñ§ÉúÎïѧÓëÉúÎïÓлú»¯Ñ§
8Â¥2015-09-08 11:10:58
zheng0123
Òø³æ (СÓÐÃûÆø)
- Ó¦Öú: 18 (СѧÉú)
- ½ð±Ò: 260.2
- É¢½ð: 50
- ºì»¨: 10
- Ìû×Ó: 280
- ÔÚÏß: 43.6Сʱ
- ³æºÅ: 3031001
- ×¢²á: 2014-03-09
- ÐÔ±ð: GG
- רҵ: ÍØÆËѧ

10Â¥2015-09-08 12:37:02














»Ø¸´´ËÂ¥