版块导航
正在加载中...
客户端APP下载
论文辅导
调剂小程序
登录
注册
帖子
帖子
用户
本版
应《网络安全法》要求,自2017年10月1日起,未进行实名认证将不得使用互联网跟帖服务。为保障您的帐号能够正常使用,请尽快对帐号进行手机号验证,感谢您的理解与支持!
24小时热门版块排行榜
>
论坛更新日志
(2857)
>
虫友互识
(557)
>
休闲灌水
(101)
>
基金申请
(86)
>
博后之家
(77)
>
论文投稿
(71)
>
导师招生
(68)
>
文献求助
(58)
>
硕博家园
(36)
>
考博
(22)
>
药学
(15)
>
招聘信息布告栏
(13)
>
教师之家
(9)
>
公派出国
(9)
>
考研
(9)
>
论文道贺祈福
(4)
小木虫论坛-学术科研互动平台
»
材料区
»
复合材料
»
树脂基
»
陶瓷聚合物复合材料的线性热膨胀系数如何处理?
5
1/1
返回列表
查看: 726 | 回复: 4
只看楼主
@他人
存档
新回复提醒
(忽略)
收藏
在APP中查看
GodSophia
金虫
(初入文坛)
应助: 1
(幼儿园)
金币: 673.8
散金: 10
红花: 1
帖子: 21
在线: 7.2小时
虫号: 2996462
注册: 2014-02-26
专业: 无机非金属基复合材料
[
求助
]
陶瓷聚合物复合材料的线性热膨胀系数如何处理?
已有1人参与
请问各位虫友们:
材料在一个温度区间测线性热膨胀系数(CTE)后,这个配方点的CTE值是全范围求均值吗?如果能有个示意数据处理图就更好了。
回复此楼
» 猜你喜欢
Sustainable Engineering Materials首届青年编委招募启事
已经有17人回复
混凝土材料类SCI期刊求推荐
已经有7人回复
建筑环境与结构工程论文润色/翻译怎么收费?
已经有292人回复
哈工大申请考核制招收博士生9月28日截止
已经有20人回复
哈工大26年度博士申请考核第二轮
已经有12人回复
advance in structural engineering 期刊Awaiting EIC Assignmeng阶段十天了
已经有3人回复
ansys有限元分析求助
已经有2人回复
有外导意向招收2026年CSC联培博士吗
已经有7人回复
南京林业大学国家工程中心李海涛教授课题组招收研究生
已经有11人回复
拟解决的关键科学问题还要不要写
已经有14人回复
» 本主题相关商家推荐:
(我也要在这里推广)
» 本主题相关价值贴推荐,对您同样有帮助:
陶瓷/聚合物复合介电材料电极怎么做?
已经有1人回复
求怎么计算陶瓷粉体与聚合物复合材料的界面面积
已经有0人回复
请问南京哪边可以测试陶瓷聚合物复合材料的线性热膨胀系数?
已经有4人回复
《复合材料》【转载】
已经有7人回复
有木有做压电陶瓷/聚合物基复合材料的虫虫
已经有0人回复
怎么检测一个复合材料板材的聚合物基体成分
已经有2人回复
[2013-3-31]第八届高温陶瓷基复合材料国际会议(HTCMC8)
已经有113人回复
有没有搞陶瓷/高分子复合材料的?
已经有4人回复
材料科学与技术丛书 复合材料的结构与性能
已经有107人回复
1楼
2015-08-25 20:04:24
已阅
回复此楼
关注TA
给TA发消息
送TA红花
TA的回帖
qsywp
专家顾问
(著名写手)
专家经验: +239
应助: 541
(博士)
贵宾: 0.008
金币: 15519.6
红花: 30
帖子: 2507
在线: 609.1小时
虫号: 88010
注册: 2005-08-22
专业: 高分子科学
管辖:
复合材料
【答案】应助回帖
感谢参与,应助指数 +1
不一定,有几种算法。看你的测试报告用的是那种!传一张图。
赞
一下
回复此楼
2楼
2015-08-27 12:23:58
已阅
回复此楼
关注TA
给TA发消息
送TA红花
TA的回帖
qsywp
专家顾问
(著名写手)
专家经验: +239
应助: 541
(博士)
贵宾: 0.008
金币: 15519.6
红花: 30
帖子: 2507
在线: 609.1小时
虫号: 88010
注册: 2005-08-22
专业: 高分子科学
管辖:
复合材料
不知道有没有参考价值!?
0001(08-27-12-24-06).jpg
赞
一下
回复此楼
3楼
2015-08-27 12:30:19
已阅
回复此楼
关注TA
给TA发消息
送TA红花
TA的回帖
GodSophia
金虫
(初入文坛)
应助: 1
(幼儿园)
金币: 673.8
散金: 10
红花: 1
帖子: 21
在线: 7.2小时
虫号: 2996462
注册: 2014-02-26
专业: 无机非金属基复合材料
引用回帖:
3楼
:
Originally posted by
qsywp
at 2015-08-27 12:30:19
不知道有没有参考价值!?
0001(08-27-12-24-06).jpg
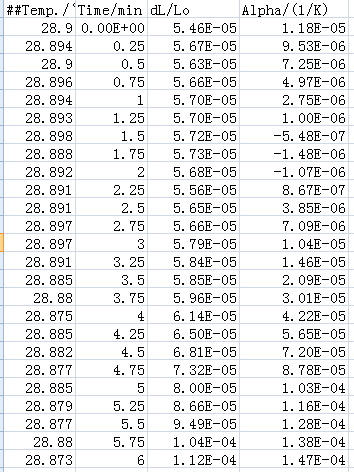
线性的,麻烦你看下我的部分数据,在下个评论
赞
一下
回复此楼
4楼
2015-09-01 13:53:22
已阅
回复此楼
关注TA
给TA发消息
送TA红花
TA的回帖
GodSophia
金虫
(初入文坛)
应助: 1
(幼儿园)
金币: 673.8
散金: 10
红花: 1
帖子: 21
在线: 7.2小时
虫号: 2996462
注册: 2014-02-26
专业: 无机非金属基复合材料
赞
一下
回复此楼
5楼
2015-09-01 13:57:59
已阅
回复此楼
关注TA
给TA发消息
送TA红花
TA的回帖
相关版块跳转
材料综合
材料工程
微米和纳米
晶体
金属
无机非金属
生物材料
功能材料
复合材料
我要订阅楼主
GodSophia
的主题更新
5
1/1
返回列表
如果回帖内容含有宣传信息,请如实选中。否则帐号将被全论坛禁言
普通表情
龙
兔
虎
猫
百度网盘
|
360云盘
|
千易网盘
|
华为网盘
在新窗口页面中打开自己喜欢的网盘网站,将文件上传后,然后将下载链接复制到帖子内容中就可以了。
信息提示
关闭
请填处理意见
关闭
确定