版块导航
正在加载中...
客户端APP下载
论文辅导
申博辅导
登录
注册
帖子
帖子
用户
本版
应《网络安全法》要求,自2017年10月1日起,未进行实名认证将不得使用互联网跟帖服务。为保障您的帐号能够正常使用,请尽快对帐号进行手机号验证,感谢您的理解与支持!
24小时热门版块排行榜
>
论坛更新日志
(3117)
>
文献求助
(185)
>
导师招生
(152)
>
虫友互识
(145)
>
博后之家
(91)
>
考博
(79)
>
论文投稿
(73)
>
硕博家园
(67)
>
休闲灌水
(67)
>
教师之家
(51)
>
基金申请
(38)
>
招聘信息布告栏
(33)
>
绿色求助(高悬赏)
(30)
>
公派出国
(29)
>
考研
(29)
>
材料综合
(22)
小木虫论坛-学术科研互动平台
»
生物医药区
»
医学
»
检验
»
似然比检验LRT的统计量,是否能大于1?
1
1/1
返回列表
查看: 4823 | 回复: 0
只看楼主
@他人
存档
新回复提醒
(忽略)
收藏
在APP中查看
bigdog1984
新虫
(初入文坛)
应助: 0
(幼儿园)
金币: 7.5
帖子: 2
在线: 29分钟
虫号: 4002848
注册: 2015-08-02
[交流]
似然比检验LRT的统计量,是否能大于1?
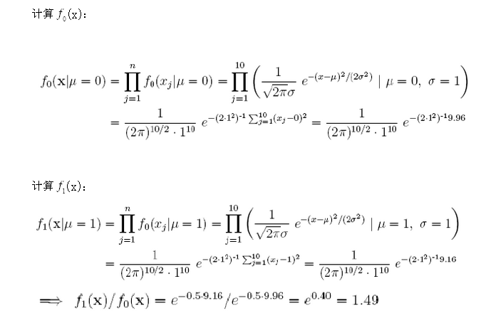
关于似然比检验LRT的统计量,我看到两种说法,一种是不能大于1,一种算出来可以大于1,分别是:
一、似然比定义为有约束条件下的似然函数最大值与无约束条件下似然函数最大值之比,如果约束是无效的,有约束的最大似然函数值当然不会超过无约束的最大似然函数值,但如果约束条件“有效”,有约束的最大值应当“接近”无约束的最大值,那么这个比值就是0-1之间,不会大于1
二、同样是一个比值,但是通过以下算法,得出的比值等于1.49,大于1,,请帮忙解释一下似然比检验LRT的统计量,到底该怎么理解?
555.png
555.png
444.png
回复此楼
» 猜你喜欢
25年食品专业考博 希望老师收留
已经有0人回复
非把代谢组学求教
已经有1人回复
内分泌系统/代谢和营养支持论文润色/翻译怎么收费?
已经有295人回复
各位大佬请问75批博士后面上基金到账了吗?
已经有4人回复
各位大佬,请教个国自然青年单位变更的问题
已经有9人回复
双缩脲反应咨询
已经有1人回复
求调剂 接受跨专业
已经有0人回复
高级回复
1楼
2015-08-07 09:34:44
已阅
回复此楼
关注TA
给TA发消息
送TA红花
TA的回帖
相关版块跳转
新药研发
药学
药品生产
分子生物
微生物
动植物
生物科学
医学
我要订阅楼主
bigdog1984
的主题更新
1
1/1
返回列表
如果回帖内容含有宣传信息,请如实选中。否则帐号将被全论坛禁言
普通表情
龙
兔
虎
猫
高级回复
(可上传附件)
百度网盘
|
360云盘
|
千易网盘
|
华为网盘
在新窗口页面中打开自己喜欢的网盘网站,将文件上传后,然后将下载链接复制到帖子内容中就可以了。
信息提示
关闭
请填处理意见
关闭
确定