| 查看: 698 | 回复: 4 | ||||
[求助]
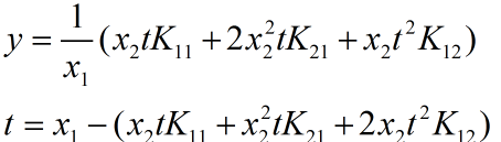
含有参变量的非线性方程组拟合,1stOpt无法运行,求各位大神帮我看一下程序 已有1人参与
|
||||
|
|
||||
|
2楼2015-08-05 17:46:28
|
|
|||
月只蓝主管区长 (职业作家)
|
【答案】应助回帖
★ ★ ★ ★ ★ ★ ★ ★ ★ ★ ★ ★ ★ ★ ★ ★ ★ ★ ★ ★ ★ ★ ★ ★ ★ ★ ★ ★ ★ ★ ★ ★ ★ ★ ★ ★ ★ ★ ★ ★ ★ ★ ★ ★ ★ ★ ★ ★ ★ ★
感谢参与,应助指数 +1 Charles201: 金币+50, ★★★★★最佳答案, 谢谢版主,非常有帮助 2015-08-06 19:17:26
|
|||
![]() |
||||
|
3楼2015-08-06 09:04:53
|
|
|||
|
||||
|
4楼2015-09-12 14:28:34
|
|
|||
|
5楼2015-09-13 21:43:09
|
|













回复此楼

