| 查看: 1333 | 回复: 4 | ||
[求助]
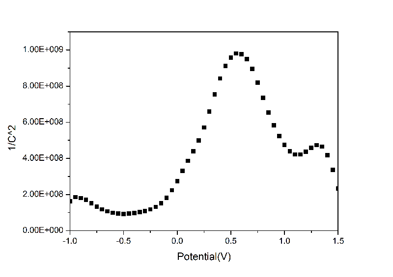
求助,Mott-Schottky测试
|
||
![]() |
||
|
|
||
17hope金虫 (小有名气)
|
|
|
|
2楼2015-08-04 21:56:29
|
|
|
![]() |
||
|
3楼2015-08-05 08:37:52
|
|
|
![]() |
||
|
4楼2015-08-05 08:39:28
|
|
|
果粒橙198951木虫 (小有名气)
|
||
|
5楼2016-05-31 16:02:06
|
|













回复此楼