| ²é¿´: 1661 | »Ø¸´: 11 | |||
| µ±Ç°Ö»ÏÔʾÂú×ãÖ¸¶¨Ìõ¼þµÄ»ØÌû£¬µã»÷ÕâÀï²é¿´±¾»°ÌâµÄËùÓлØÌû | |||
qljdddгæ (³õÈëÎÄ̳)
|
[½»Á÷]
дÂÛÎÄ£¬¼±ÓÃÓÐûÓÐ»áÆ«Î¢·Ö·½³ÌµÄÊýѧ´óÉñ£¬°ï°ïæ°¡£¡£¡£¡ ÒÑÓÐ5È˲ÎÓë
|
||
|
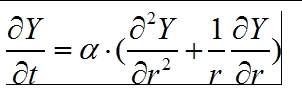
ÔÚ¼ÆËãºöÂÔ±íÃæÈÈ×èµÄÔ²¹Ü¼ÓÈȹý³Ìζȱ仯¹æÂÉÊÇ£¬µÃ³öÕâÑùµÄƫ΢·Ö·½³Ì£¬ÎÞÄÎСµÜÖ»½Ó´¥¹ý³£Î¢·Ö·½³Ì£¬Êýѧ¹¦µ×ʵÔÚÓÐÏÞ£¬ÎÞ´ÓÏÂÊÖ£¬»¹ÍûÄÄλ´óÅ£²»Áߴͽ̰¡£¡£¡ 360×ÀÃæ½ØÍ¼20150724111254.jpg |
» ²ÂÄãϲ»¶
»¯¹¤Ñ§Ë¶294·Ö£¬Çóµ¼Ê¦ÊÕÁô
ÒѾÓÐ29È˻ظ´
Çóµ÷¼Á
ÒѾÓÐ10È˻ظ´
¿¼ÑÐÇóµ÷¼Á
ÒѾÓÐ13È˻ظ´
Çóµ÷¼Á
ÒѾÓÐ3È˻ظ´
È˹¤ÖÇÄÜ320µ÷¼Á08¹¤À໹Óлú»áÂð
ÒѾÓÐ17È˻ظ´
¿¼ÑÐÓ¢Ò»ÊýÒ»338·Ö
ÒѾÓÐ10È˻ظ´
ÇóÖúµ÷¼Á£¬¿çµ÷
ÒѾÓÐ15È˻ظ´
085600²ÄÁÏÓ뻯¹¤329·ÖÇóµ÷¼Á
ÒѾÓÐ20È˻ظ´
085600²ÄÁÏÓ뻯¹¤349·ÖÇóµ÷¼Á
ÒѾÓÐ15È˻ظ´
Çóµ÷¼Á
ÒѾÓÐ13È˻ظ´
» ±¾Ö÷ÌâÏà¹Ø¼ÛÖµÌùÍÆ¼ö£¬¶ÔÄúͬÑùÓаïÖú:
²©Ê¿ÉúÖǶ·Æ×Ó·´×¬300Ôª ÂÉʦ³Æ²»¹¹³ÉÕ©Æ¡¾×ª¡¿
ÒѾÓÐ1È˻ظ´
£¨×ªÔØ£©²©Ê¿ÉúÖǶ·Æ×Ó·´×¬300Ôª ÍøÓÑÔÞÖÇÉ̹ûÈ»¸ß
ÒѾÓÐ0È˻ظ´
ÖØ´ó²©Ê¿ÉúÖǶ·Æ×Ó·´×¬Èý°Ù ÂÉʦ³Æ²»¹¹³ÉÕ©Æ
ÒѾÓÐ13È˻ظ´
²©Ê¿ÉúÖǶ·Æ×Ó·´×¬300Ôª
ÒѾÓÐ3È˻ظ´
²©Ê¿ÉúÖǶ·Æ×Ó·´×¬300Ôª
ÒѾÓÐ32È˻ظ´
ÎÒµÄ2009£¬Õ¹Íû2010-------ÔÚ´ìÕÛ£¬áÝáåÖгɳ¤µÄÒ»Äê
ÒѾÓÐ42È˻ظ´
´ß»¯°æÉÏ2008-04-25ǰ ·Ðʯ·Ö×Óɸ£¬ZSM-ϵ¡¢SAPO-ϵ ¹²466¸ö»°Ì⼯½õ
ÒѾÓÐ110È˻ظ´
hnsfhhc
гæ (³õÈëÎÄ̳)
- Ó¦Öú: 0 (Ó×¶ùÔ°)
- ½ð±Ò: 0.5
- Ìû×Ó: 1
- ÔÚÏß: 48·ÖÖÓ
- ³æºÅ: 4001533
- ×¢²á: 2015-08-01
5Â¥2015-08-02 07:55:57
qljddd
гæ (³õÈëÎÄ̳)
- Ó¦Öú: 0 (Ó×¶ùÔ°)
- ½ð±Ò: 175.7
- Ìû×Ó: 18
- ÔÚÏß: 5.9Сʱ
- ³æºÅ: 3493969
- ×¢²á: 2014-10-23
2Â¥2015-07-27 20:40:53
peterflyer
ľ³æÖ®Íõ (ÎÄѧ̩¶·)
peterflyer
- ÊýѧEPI: 10
- Ó¦Öú: 20282 (Ժʿ)
- ½ð±Ò: 146248
- ºì»¨: 1374
- Ìû×Ó: 93091
- ÔÚÏß: 7694.3Сʱ
- ³æºÅ: 1482829
- ×¢²á: 2011-11-08
- ÐÔ±ð: GG
- רҵ: ¹¦ÄÜÌÕ´É
¡ï
Сľ³æ: ½ð±Ò+0.5, ¸ø¸öºì°ü£¬Ð»Ð»»ØÌû
Сľ³æ: ½ð±Ò+0.5, ¸ø¸öºì°ü£¬Ð»Ð»»ØÌû
| ºÍ³£Î¢·Ö·½³Ì²»Í¬£¬Æ«Î¢·Ö·½³Ì»¹ÒªÅäÆë³õʼºÍ±ß½çÌõ¼þºó²ÅÄܹ»µÃµ½Çó½â¡£Ï£ÍûÂ¥Ö÷°ÑËüÅäÆëºóÔÙ˵°É¡£ |
3Â¥2015-07-28 15:06:07
hsdwlxhx
½ð³æ (ÕýʽдÊÖ)
- Ó¦Öú: 20 (СѧÉú)
- ½ð±Ò: 2986.8
- É¢½ð: 204
- ºì»¨: 6
- Ìû×Ó: 430
- ÔÚÏß: 318.5Сʱ
- ³æºÅ: 1537165
- ×¢²á: 2011-12-14
- ÐÔ±ð: GG
- רҵ: Åäλ»¯Ñ§

6Â¥2015-08-02 09:24:37














»Ø¸´´ËÂ¥