| 查看: 397 | 回复: 2 | ||
[求助]
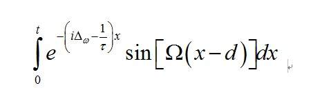
定积分帮忙求下谢谢! 已有1人参与
|
||
![]() |
||
|
|
||
peterflyer
|
【答案】应助回帖
★ ★ ★ ★ ★ ★ ★ ★ ★ ★
感谢参与,应助指数 +1 一碗白开水: 金币+10 2015-07-25 15:49:01
|
|
|
2楼2015-07-25 08:46:27
|
|
|
![]() |
||
|
3楼2015-07-25 14:17:43
|
|














回复此楼
