版块导航
正在加载中...
客户端APP下载
论文辅导
调剂小程序
登录
注册
帖子
帖子
用户
本版
应《网络安全法》要求,自2017年10月1日起,未进行实名认证将不得使用互联网跟帖服务。为保障您的帐号能够正常使用,请尽快对帐号进行手机号验证,感谢您的理解与支持!
24小时热门版块排行榜
>
论坛更新日志
(3254)
>
虫友互识
(466)
>
导师招生
(273)
>
文献求助
(268)
>
硕博家园
(131)
>
考研
(110)
>
考博
(108)
>
休闲灌水
(94)
>
博后之家
(72)
>
招聘信息布告栏
(56)
>
论文投稿
(40)
>
教师之家
(37)
>
攻关文献(高奖励)
(33)
>
基金申请
(32)
>
公派出国
(32)
>
论文道贺祈福
(30)
小木虫论坛-学术科研互动平台
»
化学化工区
»
催化
»
表征
»
急急!求帮分析下这张孔径分布和吸附脱附表征图,详细点谢谢!
3
1/1
返回列表
查看: 472 | 回复: 2
只看楼主
@他人
存档
新回复提醒
(忽略)
收藏
在APP中查看
王小煜爱夏薏
新虫
(小有名气)
应助: 1
(幼儿园)
金币: 750.8
散金: 1
帖子: 148
在线: 96.6小时
虫号: 2584528
注册: 2013-08-06
专业: 固体无机化学
[
求助
]
急急!求帮分析下这张孔径分布和吸附脱附表征图,详细点谢谢!
已有2人参与
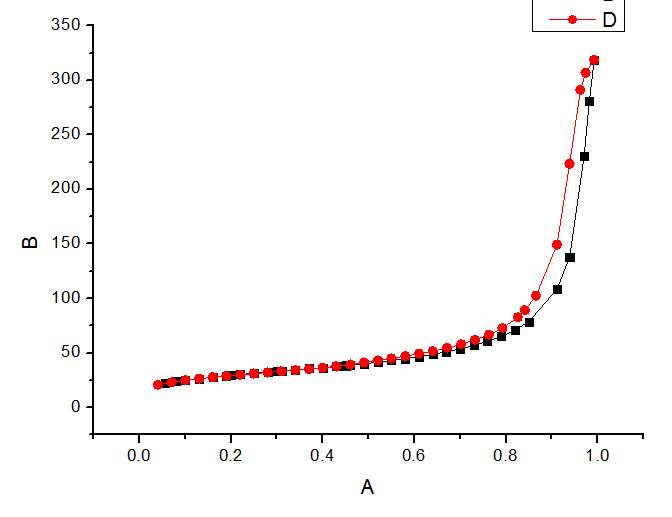
求帮忙解析,知道是IV线,H1型,求其他信息啊!!!越多越好,谢谢了!!!
11.jpg
12.jpg
回复此楼
» 猜你喜欢
国家级人才课题组招收2026年入学博士
已经有1人回复
国家级人才课题组招收2026年入学博士
已经有0人回复
物理化学论文润色/翻译怎么收费?
已经有199人回复
国家级人才课题组招收2026年入学博士
已经有0人回复
大连海事大学船舶洁净能源研究中心2026年博士研究生招生启事
已经有10人回复
求 IEC 61340-4-11:2025
已经有0人回复
武汉纺织大学全国重点实验室陈嵘教授团队招收2026级学术/专业型硕士研究生(调剂)
已经有0人回复
求助哪里可以做光催化产氢的放大实验
已经有14人回复
招生帖
已经有6人回复
侯旭课题组(化学、化工、环境、能源相关方向)欢迎你的加入
已经有15人回复
» 本主题相关价值贴推荐,对您同样有帮助:
孔径分布到底用吸附还是脱附数据来做?
已经有9人回复
BET中的数据如何做出吸附脱附线和孔径分布图,如图所示。
已经有4人回复
想做微孔材料,做了氮气吸附脱吸附和孔径分布图,但不是很懂,求助大神帮我!!!
已经有8人回复
吸脱附曲线及孔径分布图分析求助。。
已经有5人回复
怎么通过BJH吸附脱附孔容-孔径曲线看孔径分布
已经有8人回复
请大家帮我分析一下这氮气吸附脱附及孔径分布图
已经有3人回复
氮气吸附脱附等温线分析 求助,,,
已经有7人回复
氮气吸附脱附等温线分析 求助
已经有10人回复
请问孔径分布采用氮气吸附哪一组数据做出的图
已经有13人回复
要表征一种吸附材料的性能需要哪些数据
已经有11人回复
求助,氮气吸附脱附曲线及孔径分布图
已经有5人回复
氮吸附脱附环和孔径分布
已经有5人回复
求高手帮小弟看看这个介孔材料的吸附曲线属于哪种类型?
已经有6人回复
求助一个纳米材料的N2吸附-脱附图的分析
已经有7人回复
氮气吸脱附测孔径分布
已经有18人回复
XRD,吸附与脱附,催化剂孔径方面的几个求助
已经有15人回复
【请教】帮忙分析一张N2气吸脱附的图,不闭合
已经有9人回复
【求助】帮分析下这张孔径分布和吸附脱附表征图
已经有9人回复
【求助】孔径分布解析
已经有11人回复
1楼
2015-07-09 15:34:38
已阅
回复此楼
关注TA
给TA发消息
送TA红花
TA的回帖
anjianguo72
金虫
(初入文坛)
上校
应助: 1
(幼儿园)
金币: 1429
帖子: 46
在线: 19小时
虫号: 2647053
注册: 2013-09-11
性别: GG
专业: 其他无机非金属材料
【答案】应助回帖
★ ★ ★ ★ ★ ★
感谢参与,应助指数 +1
liwentao2010: 金币+1, 谢谢回帖,欢迎常来交流
2015-07-09 18:38:21
王小煜爱夏薏(liwentao2010代发): 金币+5
2015-11-18 12:58:48
看孔径是有介孔的 但是很可能是堆积孔 还有就是孔径分布纵坐标如果是dV/dlogD的话 那么出孔并不明显 还有就是 你这孔径横坐标也未标明单位呀
赞
一下
回复此楼
踏步云端,以一个伟人的眼光俯视红尘;飘逸人生,注定我会为这个世界增光添彩!
2楼
2015-07-09 16:56:48
已阅
回复此楼
关注TA
给TA发消息
送TA红花
TA的回帖
zyhou
专家顾问
(文坛精英)
专家经验: +3748
C-EPI: 74
应助: 4970
(副教授)
贵宾: 2.947
金币: 39299.7
散金: 14624
红花: 415
帖子: 10637
在线: 2546.1小时
虫号: 373328
注册: 2007-05-16
性别: GG
专业: 催化化学
管辖:
催化
【答案】应助回帖
★ ★ ★ ★
感谢参与,应助指数 +1
liwentao2010: 金币+1, 谢谢回帖,辛苦
2015-07-09 18:38:31
王小煜爱夏薏(liwentao2010代发): 金币+3
2015-11-18 12:58:54
没有这么大的介孔材料,是颗粒堆积孔。
赞
一下
回复此楼
3楼
2015-07-09 17:06:45
已阅
回复此楼
关注TA
给TA发消息
送TA红花
TA的回帖
相关版块跳转
有机交流
有机资源
高分子
无机/物化
分析
催化
工艺技术
化工设备
石油化工
精细化工
电化学
环境
SciFinder/Reaxys
我要订阅楼主
王小煜爱夏薏
的主题更新
3
1/1
返回列表
如果回帖内容含有宣传信息,请如实选中。否则帐号将被全论坛禁言
普通表情
龙
兔
虎
猫
百度网盘
|
360云盘
|
千易网盘
|
华为网盘
在新窗口页面中打开自己喜欢的网盘网站,将文件上传后,然后将下载链接复制到帖子内容中就可以了。
信息提示
关闭
请填处理意见
关闭
确定