| 查看: 1432 | 回复: 14 | |||||
| 当前只显示满足指定条件的回帖,点击这里查看本话题的所有回帖 | |||||
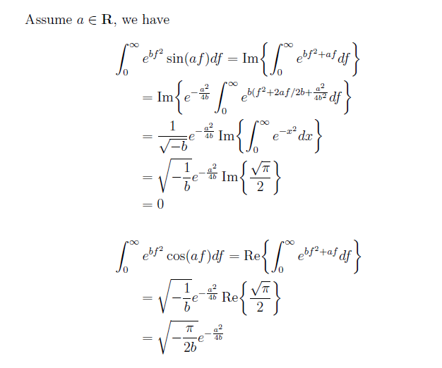
[求助]
求指点下面积分的求解方法,在线等,感谢!已有3人参与
|
|||||
|
|
|||||
feixiaolin荣誉版主 (文坛精英)
|
|
||||
|
11楼2015-07-06 11:30:44
|
|
||||
| 查看全部 15 个回答 | |||||
hank612至尊木虫 (著名写手)
|
★ ★ ★ ★ ★ ★ ★ ★ ★ ★ ★ ★ ★ ★ ★ ★ ★ ★ ★ ★ ★ ★ ★ ★ ★ ★ ★ ★ ★ ★
watent(feixiaolin代发): 金币+30 2015-07-06 11:31:07
» 本帖已获得的红花(最新10朵) |
||||
![]() |
|||||
|
2楼2015-07-06 09:43:47
|
|
||||
racoon01专家顾问 (著名写手)
|
|||||
![]() |
|||||
|
3楼2015-07-06 10:07:26
|
|
||||
|
4楼2015-07-06 10:21:32
|
|
||||













回复此楼
watent