| 查看: 456 | 回复: 2 | |||
帆书新虫 (正式写手)
|
[求助]
请问多重积分如何用MATLAB来计算,,计算欧拉模型和拉格朗日模型,求助哈 已有1人参与
|
|
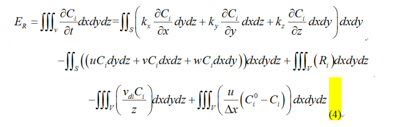
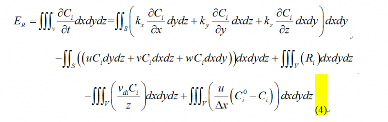
求助呢!请问MATLAB高手,求教如何用MATLAB来计算欧拉模型和拉格朗日模型。下面有我发的图片,就是欧拉模型和拉格朗日模型,大神看看好啊,帮帮忙哇 欧拉模型.png 欧拉模型.png 耦合模型.png |
» 猜你喜欢
求调剂
已经有3人回复
265求调剂
已经有4人回复
085700资源与环境308求调剂
已经有6人回复
一志愿吉林大学材料学硕321求调剂
已经有12人回复
286分人工智能专业请求调剂愿意跨考!
已经有3人回复
329求调剂
已经有5人回复
申请回稿延期一个月,编辑同意了。但系统上的时间没变,给编辑又写邮件了,没回复
已经有4人回复
材料学硕318求调剂
已经有5人回复
一志愿中国海洋大学,生物学,301分,求调剂
已经有6人回复
081700化工学硕调剂
已经有3人回复
» 本主题相关价值贴推荐,对您同样有帮助:
数值积分方法求助
已经有6人回复

2楼2017-01-19 23:32:15
pdl9527
专家顾问 (小有名气)
-

专家经验: +8 - 应助: 100 (初中生)
- 金币: 2109.3
- 红花: 23
- 帖子: 282
- 在线: 112小时
- 虫号: 1227333
- 注册: 2011-03-09
- 性别: GG
- 专业: 分离过程
- 管辖: 计算模拟
3楼2017-01-19 23:51:08













回复此楼