| 查看: 673 | 回复: 5 | |||
Jhon_C木虫 (著名写手)
|
[求助]
数据拟合? 已有1人参与
|
|
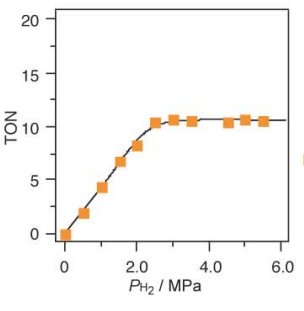
请问下,经常在文献中看到如下三幅图(见附件): 图片来源:Dalton Trans., 2006, 4657–4663 (Figure 3, Figure 4, Figure 5) 现在请问,作者在得到数据点后,是如何得到如图的拟合曲线的?是怎么拟合的? 比如说,图2,是一个函数拟合的,还是多个? 谢谢! 1.PNG 2.PNG 3.PNG |
» 猜你喜欢
生物学学硕求调剂
已经有5人回复
284求调剂
已经有10人回复
一志愿山东大学药学学硕求调剂
已经有4人回复
07化学280分求调剂
已经有4人回复
298-一志愿中国农业大学-求调剂
已经有12人回复
求材料,环境专业调剂
已经有3人回复
335求调剂
已经有5人回复
求调剂
已经有7人回复
一志愿吉大化学322求调剂
已经有4人回复
环境学硕288求调剂
已经有8人回复


2楼2015-06-26 13:18:37
feixiaolin
荣誉版主 (文坛精英)
-

专家经验: +518 - 应助: 942 (博后)
- 贵宾: 1.275
- 金币: 3430
- 散金: 58785
- 红花: 532
- 沙发: 11
- 帖子: 24215
- 在线: 2601.8小时
- 虫号: 2139575
- 注册: 2012-11-21
- 专业: 光学信息获取与处理
- 管辖: 数学
3楼2015-06-26 15:39:26
Jhon_C
木虫 (著名写手)
- 应助: 0 (幼儿园)
- 金币: 2667.2
- 散金: 790
- 红花: 7
- 帖子: 1096
- 在线: 258.4小时
- 虫号: 2293262
- 注册: 2013-02-22
- 专业: 生物物理、生物化学与分子

4楼2015-06-26 15:46:07
Jhon_C
木虫 (著名写手)
- 应助: 0 (幼儿园)
- 金币: 2667.2
- 散金: 790
- 红花: 7
- 帖子: 1096
- 在线: 258.4小时
- 虫号: 2293262
- 注册: 2013-02-22
- 专业: 生物物理、生物化学与分子

5楼2015-06-26 15:49:02

6楼2015-06-29 14:29:19













回复此楼
Jhon_C