版块导航
正在加载中...
客户端APP下载
登录
注册
帖子
帖子
用户
本版
应《网络安全法》要求,自2017年10月1日起,未进行实名认证将不得使用互联网跟帖服务。为保障您的帐号能够正常使用,请尽快对帐号进行手机号验证,感谢您的理解与支持!
24小时热门版块排行榜
>
论坛更新日志
(1568)
>
虫友互识
(86)
>
休闲灌水
(43)
>
导师招生
(33)
>
仿真模拟
(28)
>
基金申请
(20)
>
文献求助
(18)
>
硕博家园
(15)
>
论文投稿
(13)
>
考博
(12)
>
找工作
(11)
>
博后之家
(10)
>
考研
(10)
>
论文道贺祈福
(9)
>
公派出国
(9)
>
教师之家
(8)
小木虫论坛-学术科研互动平台
»
生物医药区
»
药学
»
药物化学
»
过柱子的相关问题
2
1/1
返回列表
查看: 398 | 回复: 1
只看楼主
@他人
存档
新回复提醒
(忽略)
收藏
在APP中查看
1191641564
新虫
(小有名气)
应助: 0
(幼儿园)
金币: 1375.6
散金: 180
帖子: 131
在线: 44.3小时
虫号: 2933843
注册: 2014-01-15
专业: 药剂学
[
求助
]
过柱子的相关问题
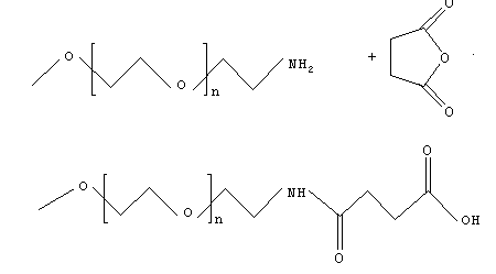
请问,下面图片中的三个化合物各自可以用什么样的显色剂,另外,可以先尝试以什么洗脱剂和展开剂比较合适?
GPYVY~LL7{XKLZPMS0U2KR3.png
回复此楼
» 猜你喜欢
26/27申博自荐
已经有10人回复
东北林业大学材料科学与工程学院“一流”A+学科国家级人才团队课题组招收2026级博士生
已经有3人回复
医学类期刊求推荐
已经有5人回复
生活琐事由它去
已经有4人回复
提交了我也来说说感想
已经有12人回复
青B发送上会通知了吗
已经有9人回复
西安交大新媒学院副院长用撤稿论文结题
已经有6人回复
论文撤稿了
已经有8人回复
化学专业申博
已经有4人回复
某211大学教师把个人教师官方主页改成:我跑了我跑了我跑了!官宣跑路!
已经有5人回复
» 本主题相关价值贴推荐,对您同样有帮助:
过柱子遇到的疑问
已经有13人回复
求助,过柱子的问题!
已经有18人回复
有关过柱子的问题
已经有5人回复
关于过柱子的几个基本问题,各位同行如能任意一个或几个问题给出指导小妹都不胜感激!
已经有7人回复
用二氯甲烷过柱子的问题
已经有26人回复
过柱子的时候,如果用的柱子太粗是不是损失会比较大?
已经有27人回复
过柱子点板所遇到的问题
已经有52人回复
过柱子又有点问题
已经有13人回复
关于过柱子中遇到的问题
已经有35人回复
急求过柱子的问题
已经有11人回复
过柱子分不开,东西也少了
已经有23人回复
过柱子遇到的问题
已经有50人回复
关于过柱子气泡的问题,请教前辈们
已经有17人回复
过柱子分离不开的一个问题
已经有42人回复
关于过柱子上样的问题
已经有19人回复
过柱子,两个点一起下来,
已经有25人回复
一个关于过柱子的问题
已经有15人回复
求助关于过柱子的问题
已经有10人回复
过柱子纯化问题
已经有18人回复
【讨论】关于过柱子加压问题,欢迎各位虫友各抒己见
已经有29人回复
【求助】过柱子的洗脱剂问题
已经有23人回复
【求助】很小白的问一个过柱子的问题
已经有16人回复
【求助】过柱子和点板的极性问题
已经有6人回复
【求助】关于过柱子技巧
已经有28人回复
1楼
2015-06-24 21:42:18
已阅
回复此楼
关注TA
给TA发消息
送TA红花
TA的回帖
1191641564
新虫
(小有名气)
应助: 0
(幼儿园)
金币: 1375.6
散金: 180
帖子: 131
在线: 44.3小时
虫号: 2933843
注册: 2014-01-15
专业: 药剂学
追问一下,我是以第二个原料过量来反应的,并且,只有前两个化合物有标准品,产物没有对照品,所以都不晓得怎样才能找到我自己的产物点,于是在此求助各位大神指点迷津,感激不尽
赞
一下
回复此楼
2楼
2015-06-24 22:10:22
已阅
回复此楼
关注TA
给TA发消息
送TA红花
TA的回帖
相关版块跳转
新药研发
药学
药品生产
分子生物
微生物
动植物
生物科学
医学
我要订阅楼主
1191641564
的主题更新
2
1/1
返回列表
如果回帖内容含有宣传信息,请如实选中。否则帐号将被全论坛禁言
普通表情
龙
兔
虎
猫
百度网盘
|
360云盘
|
千易网盘
|
华为网盘
在新窗口页面中打开自己喜欢的网盘网站,将文件上传后,然后将下载链接复制到帖子内容中就可以了。
信息提示
关闭
请填处理意见
关闭
确定