| ²é¿´: 5641 | »Ø¸´: 2 | |
| ¡¾ÐüÉͽð±Ò¡¿»Ø´ð±¾ÌûÎÊÌ⣬×÷Õßlosingcat½«ÔùËÍÄú 5 ¸ö½ð±Ò | |
losingcatÒø³æ (³õÈëÎÄ̳)
|
[ÇóÖú]
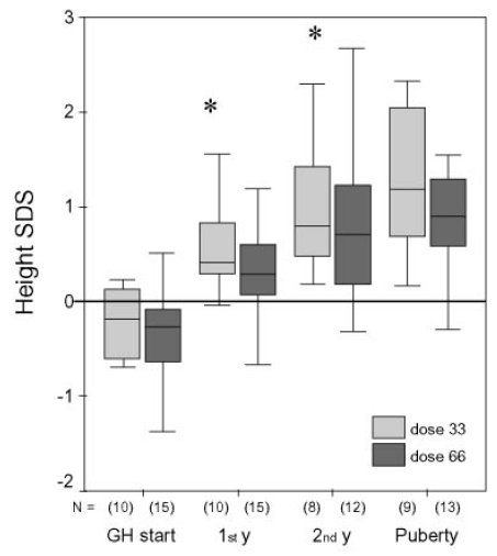
¡¾Öù״ͼͼ±íÊý¾ÝµÄÌáÈ¡¡¿ÈçºÎÌáȡͼÖеľùÊýºÍ±ê×¼Îó£¿
|
|
|
|
°ëĶ»¨Ìï116ľ³æ (ÕýʽдÊÖ)
|
|
|
2Â¥2015-06-22 23:48:21
|
|
keaSSyÖÁ×ðľ³æ (ÖøÃûдÊÖ)
|
|
![]() |
|
|
3Â¥2015-06-23 00:31:16
|
|














»Ø¸´´ËÂ¥
