| ²é¿´: 1256 | »Ø¸´: 2 | |
shesx217Ìú³æ (ÕýʽдÊÖ)
|
[ÇóÖú]
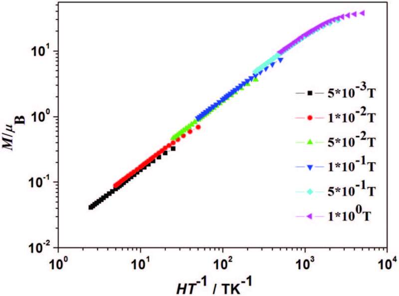
´ÅÐÔ²âÊÔµÄÕâÁ½ÖÖM-H/TͼÓÐÊ²Ã´Çø±ð£¿ÎÄÕÂÖпÉÒÔͨÓÃÂ𣿻ØÌû¼´ËÍ5½ð±Ò´ðл£¡ ÒÑÓÐ1È˲ÎÓë
|
|
|
|
guangdzhuh½ð³æ (СÓÐÃûÆø)
|
|
|
2Â¥2015-06-22 00:00:05
|
|
guangdzhuh½ð³æ (СÓÐÃûÆø)
|
|
|
3Â¥2015-06-22 00:19:04
|
|














»Ø¸´´ËÂ¥