| 查看: 576 | 回复: 2 | |
[求助]
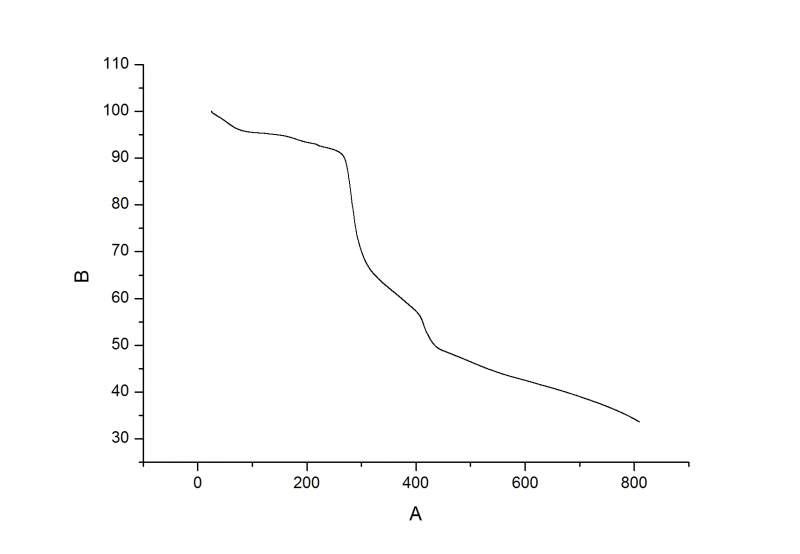
晶体热重分析 已有1人参与
|
|
![]() |
|
|
|
|
|
2楼2015-06-17 09:00:13
|
|
![]() |
|
|
3楼2015-06-17 14:47:53
|
|












回复此楼