| ²é¿´: 844 | »Ø¸´: 3 | ||
| ±¾Ìû²úÉú 1 ¸ö ²©Ñ§EPI £¬µã»÷ÕâÀï½øÐв鿴 | ||
yixintttľ³æ (ÕýʽдÊÖ)
|
[ÇóÖú]
LatexÁ½Ì춼û¸ã¶¨µÄ¹«Ê½
|
|
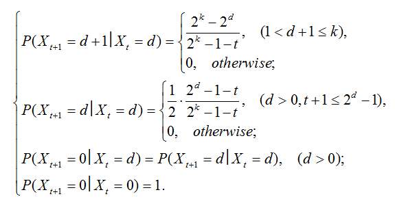
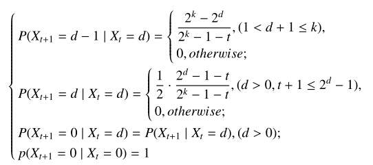
´óÉñÃÇ£¬ÄÜ·ñ°ï¿´¿´Õâ¸ö¹«Ê½ÓÃLatex²åÈ룬¸ãÁ½ÌìÁË£¬»¹ÊÇû¸ã¶¨¡£ÏÂÃæÊÇÎҵĴúÂ룬µ«ÊÇû¶ÔÆë¡£Í¼µÚÒ»ÕÅΪҪ²åÈëµÄ¹«Ê½£¬µÚ¶þÕÅΪÎÒ²åÈëµÄ£¬µ«ÊÇû¶ÔÆë¡£Çó´óÉñÃÇÖ¸µã£¡![]() ![]() ![]() ¹«Ê½.jpg ¹«Ê½2.jpg |
» ²ÂÄãϲ»¶
²ÄÁÏ¿¼Ñе÷¼Á
ÒѾÓÐ3È˻ظ´
²ÄÁϵ÷¼Á
ÒѾÓÐ12È˻ظ´
Ó¢Ò»ÊýÒ»408£¬×Ü·Ö284£¬¶þÕ½Õæ³ÏÇóµ÷¼Á
ÒѾÓÐ14È˻ظ´
085410 Ò»Ö¾Ô¸211 22408·ÖÊý359Çóµ÷¼Á
ÒѾÓÐ4È˻ظ´
271Çóµ÷¼Á
ÒѾÓÐ19È˻ظ´
385·Ö ÉúÎïѧ£¨071000£©Çóµ÷¼Á
ÒѾÓÐ3È˻ظ´
Ò»Ö¾Ô¸°²»Õ´óѧ¼ÆËã»ú¿ÆÑ§Óë¼¼Êõѧ˶£¬331·ÖÇóµ÷¼Á
ÒѾÓÐ3È˻ظ´
318Çóµ÷¼Á£¬¼ÆËã²ÄÁÏ·½Ïò
ÒѾÓÐ8È˻ظ´
291Çóµ÷¼Á
ÒѾÓÐ25È˻ظ´
Ò»Ö¾Ô¸±±¾©¿Æ¼¼´óѧ085601²ÄÁϹ¤³ÌÓ¢Ò»Êý¶þ³õÊÔ×Ü·Ö335Çóµ÷¼Á
ÒѾÓÐ6È˻ظ´
» ±¾Ö÷ÌâÏà¹Ø¼ÛÖµÌùÍÆ¼ö£¬¶ÔÄúͬÑùÓаïÖú:
¼±£ºlatex ±àÒëÖб¨³ö¡°£¡paragraph complete ended before \align was complete¡±£¬
ÒѾÓÐ8È˻ظ´
LaTexÖй«Ê½Ì«³¤£¬Ôõô´ÓË«À¸±ä³Éµ¥À¸ÅŰæ
ÒѾÓÐ13È˻ظ´
latex±í¸ñÖеĹ«Ê½Ì«³¤£¬²»»á»»ÐÐ
ÒѾÓÐ7È˻ظ´
¹ØÓÚlatexÖй«Ê½ÒýÓÃÎÊÌâ¡£
ÒѾÓÐ3È˻ظ´
ÈçºÎÔÚlatexË«À¸ÅŰæÖвåÈëµ¥À¸µÄ¹«Ê½
ÒѾÓÐ5È˻ظ´
ÇóÖúÔõôÓÃLaTex±àÒëÂÛÎÄÄØ£¬¼±¼±¼±¡¡
ÒѾÓÐ4È˻ظ´
LaTexË«À¸²åͼµÄÎÊÌâ
ÒѾÓÐ6È˻ظ´
LaTexͼÃû»»ÐÐÎÊÌâ
ÒѾÓÐ4È˻ظ´
LATEX ¹«Ê½Í¨À¸
ÒѾÓÐ10È˻ظ´
LATEX¼òµ¥ÊÓÆµ½Ì³Ì-ÊʺÏÈëÃŵÄͬѧ¿´
ÒѾÓÐ10È˻ظ´
wordÖеÄÕâÁ½¸ö¹«Ê½ÎªÊ²Ã´²»Äܸ´ÖƵ½latexÀ±ðµÄ¹«Ê½¶¼¿ÉÒÔת»»³Élatex¸ñʽ°¡£¬¼±£¡
ÒѾÓÐ3È˻ظ´
LaTeXµÄÀëÏßÊýѧ¹«Ê½±à¼Æ÷£¨È¥¹ã¸æ£©
ÒѾÓÐ82È˻ظ´
LatexÊäÈëÌØÊ⹫ʽ
ÒѾÓÐ3È˻ظ´
latexÉú³ÉµÄPDFÎļþ³öƬ³ö´í
ÒѾÓÐ8È˻ظ´
LaTeXÈëÃÅϵÁÐÖ®Ò»(LaTeX¼ò½é)
ÒѾÓÐ9È˻ظ´
LaTeX×ÊÔ´»ã×Ü
ÒѾÓÐ52È˻ظ´
¹ØÓÚÊÇ·ñÒª¸Ä³ÉlatexµÄÒÉÎÊ Ð»Ð»
ÒѾÓÐ4È˻ظ´
ÓÃlatex±à¼ÆÚ¿¯ÂÛÎÄmanuscriptÖеÄÎÊÌâС½á
ÒѾÓÐ13È˻ظ´
latexÖй«Ê½ÎÊÌâ
ÒѾÓÐ4È˻ظ´
Çë¸ßÊÖ¸øÕâ¸ölatex¹«Ê½»»ÐÐ
ÒѾÓÐ7È˻ظ´
ÔõôÔÚmathtypeÀïÃæÊ¹ÓÃlatex£¿
ÒѾÓÐ6È˻ظ´
LatexÊÇʲô£¿ÊÇÒ»ÖÖÀàËÆÓÚwordµÄ¶«Î÷Âð£¿ÎªÊ²Ã´Í¶¹ú¼Ê»áÒéʱ£¬ÀÏÊÇ˵Latex¸ñʽ
ÒѾÓÐ30È˻ظ´
ÎÒѧϰlatexµÄһЩÌå»á
ÒѾÓÐ15È˻ظ´

intoabyss
½ð³æ (СÓÐÃûÆø)
- ²©Ñ§EPI: 1
- Ó¦Öú: 2 (Ó×¶ùÔ°)
- ½ð±Ò: 898.6
- É¢½ð: 230
- Ìû×Ó: 105
- ÔÚÏß: 175.1Сʱ
- ³æºÅ: 406441
- ×¢²á: 2007-06-18
- רҵ: ¹¤Òµ¹¤³ÌÓë¹ÜÀí
¡¾´ð°¸¡¿Ó¦Öú»ØÌû
¡ï ¡ï ¡ï ¡ï ¡ï ¡ï ¡ï ¡ï ¡ï ¡ï ¡ï ¡ï ¡ï ¡ï ¡ï ¡ï ¡ï ¡ï ¡ï ¡ï ¡ï ¡ï ¡ï ¡ï ¡ï ¡ï ¡ï ¡ï ¡ï ¡ï ¡ï ¡ï ¡ï ¡ï ¡ï ¡ï ¡ï ¡ï ¡ï ¡ï
yixinttt: ½ð±Ò+40, ²©Ñ§EPI+1, ¡ï¡ï¡ï¡ï¡ï×î¼Ñ´ð°¸, ½â¾öÁËÎÊÌ⣡ 2015-06-14 09:45:12
yixinttt: ½ð±Ò+40, ²©Ñ§EPI+1, ¡ï¡ï¡ï¡ï¡ï×î¼Ñ´ð°¸, ½â¾öÁËÎÊÌ⣡ 2015-06-14 09:45:12
|
ÊÔÊÔ \left\{ \begin{align} & P({{X}_{t+1}}=d-1\mid {{X}_{t}}=d)=\left\{ \begin{align} & \frac{{{2}^{k}}-{{2}^{d}}}{{{2}^{k}}-1-t},(1<d+1\le k), \\ & 0,otherwise; \\ \end{align} \right. \\ & P({{X}_{t+1}}=d\mid {{X}_{t}}=d)=\left\{ \begin{align} & \frac{1}{2}\cdot \frac{{{2}^{d}}-1-t}{{{2}^{k}}-1-t},(d>0,t+1\le {{2}^{d}}-1), \\ & 0,otherwise; \\ \end{align} \right. \\ & P({{X}_{t+1}}=0\mid {{X}_{t}}=d)=P({{X}_{t+1}}\mid {{X}_{t}}=d),(d>0); \\ & p({{X}_{t+1}}=0\mid {{X}_{t}}=0)=1 \\ \end{align} \right. |
3Â¥2015-06-13 22:44:43
yixinttt
ľ³æ (ÕýʽдÊÖ)
- Ó¦Öú: 6 (Ó×¶ùÔ°)
- ½ð±Ò: 1196.7
- É¢½ð: 3100
- ºì»¨: 6
- Ìû×Ó: 802
- ÔÚÏß: 230.4Сʱ
- ³æºÅ: 3140710
- ×¢²á: 2014-04-16
- ÐÔ±ð: GG
- רҵ: ¼ÆËã»úÓ¦Óü¼Êõ
|
sorry£¬Íü¼ÇÌùÎҵĴúÂëÁË£¡ \begin{equation} \left\{ \begin{aligned} \begin{array}{*{5}{c}} {P(X_{t+1}=d-1 \mid X_t=d)= \begin{cases} \frac {2^k-2^d}{2^k-1-t} & ($ 1 $<$ d+1 $ \le$ k $)\\ 0 & ($otherwise$) \end{cases}}\\ {P(X_{t+1}=d \mid X_t=d)= \begin{cases} \frac {1}{2} \cdot \frac {2^d-1-t}{2^k-1-t} & ($ d $>$ 0, t+1 $\le$ $2^d-1$ $)\\ 0 & ($otherwise$) \end{cases}}\\ P(X_{t+1}=0 \mid X_t=d) = P(X_{t+1} \mid X_t=d) &{( d > 0 )} \\ p(X_{t+1} = 0 \mid X_t=0) = 1 \end{array} \end{aligned} \right. \end{equation} |

2Â¥2015-06-13 22:31:41
yixinttt
ľ³æ (ÕýʽдÊÖ)
- Ó¦Öú: 6 (Ó×¶ùÔ°)
- ½ð±Ò: 1196.7
- É¢½ð: 3100
- ºì»¨: 6
- Ìû×Ó: 802
- ÔÚÏß: 230.4Сʱ
- ³æºÅ: 3140710
- ×¢²á: 2014-04-16
- ÐÔ±ð: GG
- רҵ: ¼ÆËã»úÓ¦Óü¼Êõ

4Â¥2015-06-14 09:42:27















»Ø¸´´ËÂ¥
