| 查看: 2071 | 回复: 3 | ||
[求助]
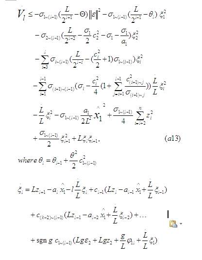
word中的这两个公式为什么不能复制到latex里,别的公式都可以转换成latex格式啊,急! 已有1人参与
|
|
用mathtype编写好后,在“选项”里有一个“剪切和复制选项”(就是第一个),点开之后,选择第二项“转换其他文字”,下拉菜单里选择“latex 2.09 and later”,然后复制你用mathtype编好的公式,粘贴到记事本里,就是latex格式的公式了,很好用的。 我用到是上边的方法,我的大部分公式都可以转换成功,可是最后的两个却处理问题,求各位大虫相助 2.jpg |
» 本帖附件资源列表
-
欢迎监督和反馈:小木虫仅提供交流平台,不对该内容负责。
本内容由用户自主发布,如果其内容涉及到知识产权问题,其责任在于用户本人,如对版权有异议,请联系邮箱:xiaomuchong@tal.com - 附件 1 : 1.doc
2014-03-19 19:05:57, 45 K
» 猜你喜欢
3-溴吡啶-4-甲醛合成
已经有9人回复
求调剂
已经有19人回复
材料专硕322
已经有6人回复
一志愿南京航空航天大学 材料与化工329分求调剂
已经有3人回复
285求调剂
已经有9人回复
材料求调剂
已经有11人回复
调剂
已经有8人回复
材料调剂
已经有14人回复
材料334求调剂
已经有17人回复
332求调剂
已经有16人回复
» 本主题相关价值贴推荐,对您同样有帮助:
用latex编辑期刊论文manuscript中的问题小结
已经有13人回复
怎么在mathtype里面使用latex?
已经有6人回复
Google Chart 公式输入助手
已经有13人回复
【分享】利用Bibtex4Word实现Word写作时参考文献的插入和排版
已经有4人回复
Mathtype使用技巧(转帖)
已经有1人回复
leimin2008
新虫 (正式写手)
- 应助: 81 (初中生)
- 金币: 2526.2
- 散金: 602
- 红花: 13
- 帖子: 587
- 在线: 276.5小时
- 虫号: 2695364
- 注册: 2013-10-02
- 专业: 控制论中的数学方法
2楼2014-03-19 20:00:54

3楼2014-03-21 07:13:31
4楼2014-03-22 23:14:36














回复此楼
这几个公式在latex稍微一敲就出来了。为神马一定要纠结复制。