| ²é¿´: 1073 | »Ø¸´: 6 | ||
wwg10060гæ (³õÈëÎÄ̳)
|
[ÇóÖú]
ï®Àë×Óµç³Ø·ÅµçÄ£Äâ ÒÑÓÐ4È˲ÎÓë
|
|
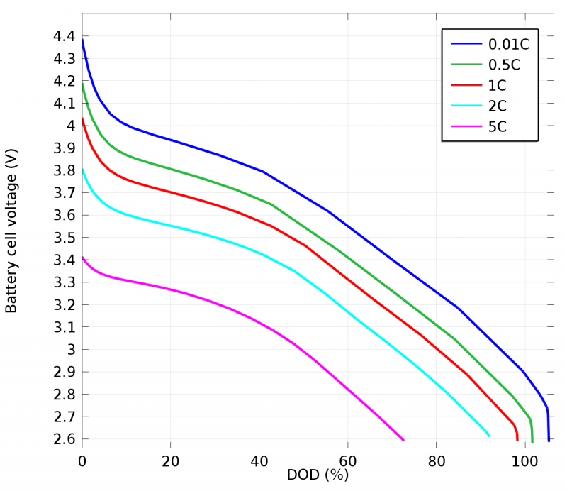
ÓÃCOMSOLÈí¼þÄ£Äâï®Àë×ӷŵçʱ£¬·¢Ïֵͷŵ籶ÂÊÏ£¬·ÅµçÉî¶È´óÓÚ100%£¬ÕâÖÖÇé¿öÊÇ·ñÕýÈ·£¿Çó´ó¼Ò½â´ð¡£ 18.png |
» ²ÂÄãϲ»¶
ÉϺ£¹¤³Ì¼¼Êõ´óѧÉú̬Ó빦ÄÜ·Ä֯Ʒ¿ª·¢Ñо¿ÍŶÓÕÐÊÕѧ˶ר˶Ñо¿Éú
ÒѾÓÐ0È˻ظ´
»ªÄÏÀí¹¤0703Çóµ÷¼Á£¬×Ü·Ö336ËÄÁù¼¶Òѹý
ÒѾÓÐ2È˻ظ´
·ÖÎö»¯Ñ§ÂÛÎÄÈóÉ«/·ÒëÔõôÊÕ·Ñ?
ÒѾÓÐ157È˻ظ´
Çൺ´óѧ»¯Ñ§»¯¹¤Ñ§Ôº2026ÄêÕÐÊÕµ÷¼Á˶ʿÑо¿Éú
ÒѾÓÐ0È˻ظ´
ÐÂÄÜÔ´²ÄÁÏ·½Ïò¿¼Ñе÷¼ÁÕÐÉú£¨³¤½Ê¦·¶Ñ§Ôº£©
ÒѾÓÐ0È˻ظ´
0854µç×ÓÐÅÏ¢272Çóµ÷¼Á£¡
ÒѾÓÐ0È˻ظ´
»¯Ñ§-»¯¹¤-²ÄÁÏ-ʳƷ-ÉúÎï-»·¾³2026ÄêÑо¿Éúµ÷¼Á£¨¿ÉÒÔ²»¿¼Êýѧ£©
ÒѾÓÐ0È˻ظ´
»¯Ñ§-»¯¹¤-²ÄÁÏ-ʳƷ-ÉúÎï-»·¾³-ũҵ 2026ÄêÑо¿Éúµ÷¼Á£¨¿ÉÒÔ²»¿¼Êýѧ£©
ÒѾÓÐ1È˻ظ´
070300Ò»Ö¾Ô¸211£¬312·ÖÇóµ÷¼ÁԺУ
ÒѾÓÐ4È˻ظ´
26Äê´¢ÄÜ¡¢µç³Ø·½Ïò²©Ê¿ÉêÇë
ÒѾÓÐ0È˻ظ´
070300»¯Ñ§Çóµ÷¼Á
ÒѾÓÐ2È˻ظ´
» ±¾Ö÷ÌâÏà¹Ø¼ÛÖµÌùÍÆ¼ö£¬¶ÔÄúͬÑùÓаïÖú:
ï®Àë×Óµç³ØÖ»³äµç²»·ÅµçÊÇÔõô»ØÊ£¿
ÒѾÓÐ22È˻ظ´
Çóï®Àë×Óµç³ØµÄµç»¯Ñ§·´Ó¦Ê½
ÒѾÓÐ9È˻ظ´
Çë½ÌÓйظßѹ²ÄÁÏï®Àë×Óµç³Ø³ä·ÅµçÑ»·µÄÎÊÌâ
ÒѾÓÐ20È˻ظ´
ï®Àë×Óµç³Ø¸º¼«²ÄÁϳä·ÅµçµÄһЩÎÊÌâÇóÖú
ÒѾÓÐ17È˻ظ´
ï®Àë×Óµç³ØÊ״ηŵçÈÝÁ¿ÎÊÌâ
ÒѾÓÐ12È˻ظ´
ÇëÎÊï®Àë×Óµç³Ø×é×°ºÃºó½øÐвâÊÔ£¬Ó¦¸ÃÏȳäµç£¬»¹ÊÇÏȷŵ磿
ÒѾÓÐ11È˻ظ´
ï®Àë×Óµç³Ø³ä·Åµç¹ý³ÌÖÐÄÜÁ¿Ëðʧ
ÒѾÓÐ4È˻ظ´
¹ØÓÚï®Àë×Óµç³Ø¸º¼«²ÄÁÏÑ»·³ä·Åµç³ÌÐò¼°¿âÂ×ЧÂʼÆËãµÄÎÊÌâ
ÒѾÓÐ12È˻ظ´
ï®Àë×Óµç³Ø³ä·Åµç²âÊÔ
ÒѾÓÐ10È˻ظ´
ï®Àë×Óµç³Ø³ä·Åµçƽ̨»úÀí£¿
ÒѾÓÐ6È˻ظ´
Ϊʲôï®Àë×Óµç³ØµÍδóµçÁ÷·Åµç³öÏÖÈÝÁ¿Ë¥¼õ£¿
ÒѾÓÐ19È˻ظ´
ï®Àë×Óµç³Ø³ä·Åµç½ØÖ¹µçѹÈçºÎÈ·¶¨£¿
ÒѾÓÐ14È˻ظ´
ï®Àë×Óµç³Ø¸º¼«²ÄÁϵÄÊ״γä·ÅµçЧÂÊΪʲôºÜÖØÒª £¿
ÒѾÓÐ78È˻ظ´
´Óµç»¯Ñ§ÔÀí·ÖÎöï®Àë×Óµç³ØÎªÊ²Ã´ÒªÏȳäµçºó²ÅÄܷŵ磿
ÒѾÓÐ68È˻ظ´
ï®Àë×Óµç³ØÔÚ³ä·Åµçʱ¼«¿ìµÄ³äÍ꼫¿ìµÄ·ÅÍêÔõô»ØÊ£¿
ÒѾÓÐ20È˻ظ´
ï®Àë×Óµç³Ø³ä·ÅµçÇúÏßµÄÀ§»ó
ÒѾÓÐ5È˻ظ´
ï®Àë×Óµç³Ø³ä·ÅµçÎÊÌâ
ÒѾÓÐ10È˻ظ´
¡¾ÇóÖú¡¿¹ØÓÚï®Àë×Óµç³Ø³ä·ÅµçÇúÏß¼°»úÀí
ÒѾÓÐ11È˻ظ´
ÃεÄÅ·Å1212
гæ (³õÈëÎÄ̳)
tianyufu: ÆÁ±ÎÄÚÈÝ, ÇëÎðÔÚ»ØÌûÖз¢²¼º¬ÓÐqqµÈ¸öÈËÐÅÏ¢µÄÄÚÈÝ 2015-06-11 08:49:28
|
±¾ÌûÄÚÈݱ»ÆÁ±Î |
2Â¥2015-06-10 21:18:25
wwg10060
гæ (³õÈëÎÄ̳)
- Ó¦Öú: 0 (Ó×¶ùÔ°)
- ½ð±Ò: 106.5
- Ìû×Ó: 8
- ÔÚÏß: 9.5Сʱ
- ³æºÅ: 3215726
- ×¢²á: 2014-05-18
3Â¥2015-06-10 22:12:35
langzhizhou
°æÖ÷ (Ö°Òµ×÷¼Ò)
- ECEPI: 13
- Ó¦Öú: 1072 (²©ºó)
- ¹ó±ö: 1.631
- ½ð±Ò: 32033.8
- É¢½ð: 6372
- ºì»¨: 305
- Ìû×Ó: 3172
- ÔÚÏß: 409.1Сʱ
- ³æºÅ: 507377
- ×¢²á: 2008-02-19
- ÐÔ±ð: GG
- רҵ: µç»¯Ñ§
- ¹ÜϽ: µç»¯Ñ§
¡¾´ð°¸¡¿Ó¦Öú»ØÌû
¡ï
¸Ðл²ÎÓ룬ӦÖúÖ¸Êý +1
wwg10060: ½ð±Ò+1, ¡ïÓаïÖú 2015-06-11 12:29:03
¸Ðл²ÎÓ룬ӦÖúÖ¸Êý +1
wwg10060: ½ð±Ò+1, ¡ïÓаïÖú 2015-06-11 12:29:03
|
Ò²²»ÄÜ˵¾Í²»ÕýÈ·£¬ÒòΪͨ³£²»Í¬±¶ÂʷŵçµÄǰÌáÊdzäµç¶¼ÊÇÓÃ1C³äµçÖÁÂúµç̬£» Ò²¾ÍÊÇ˵·ÅµçÈÝÁ¿µÈÓÚ1CµÄ³äµçÈÝÁ¿Ê±£¬ÊÇ100%£» ¶øÐ¦Ð¡µçÁ÷·Åµç£¬Æä·Åµç±È1C·Åµç¸ü¼Ó³¹µ×£¬¾ÍÓпÉÄÜÔÚÔÀ´1C·ÅµçµÄ»ù´¡ÉϼÌÐø·Åµç£¬»áÓжàÓàµÄÈÝÁ¿³öÏÖ. LZÄãÕâ¸öÄâºÏÈí¼þÄÜ˵˵Â𣿺ܸÐÐËȤ°¡ |

4Â¥2015-06-10 23:03:09
lÁ¿×ÓÏþÒä
Ìú³æ (Ö°Òµ×÷¼Ò)
- Ó¦Öú: 2 (Ó×¶ùÔ°)
- ½ð±Ò: 6802.8
- É¢½ð: 2785
- ºì»¨: 12
- ɳ·¢: 6
- Ìû×Ó: 3181
- ÔÚÏß: 550.1Сʱ
- ³æºÅ: 2182841
- ×¢²á: 2012-12-12
- ÐÔ±ð: GG
- רҵ: ²ÄÁÏÎïÀí»¯Ñ§
5Â¥2015-12-28 22:57:34
louderbe
°æÖ÷ (ÖøÃûдÊÖ)
- ECEPI: 6
- Ó¦Öú: 498 (˶ʿ)
- ¹ó±ö: 0.502
- ½ð±Ò: 18306
- É¢½ð: 363
- ºì»¨: 89
- ɳ·¢: 4
- Ìû×Ó: 1554
- ÔÚÏß: 786.5Сʱ
- ³æºÅ: 2015772
- ×¢²á: 2012-09-20
- ÐÔ±ð: GG
- רҵ: µç»¯Ñ§
- ¹ÜϽ: µç»¯Ñ§

6Â¥2015-12-29 08:55:16
shenbinssc
¾èÖú¹ó±ö (ÖøÃûдÊÖ)
- Ó¦Öú: 76 (³õÖÐÉú)
- ½ð±Ò: 2464.7
- É¢½ð: 8523
- ºì»¨: 15
- Ìû×Ó: 1088
- ÔÚÏß: 647.3Сʱ
- ³æºÅ: 644811
- ×¢²á: 2008-11-03
- ÐÔ±ð: GG
- רҵ: µç»¯Ñ§

7Â¥2015-12-29 11:26:53














»Ø¸´´ËÂ¥