版块导航
正在加载中...
客户端APP下载
论文辅导
申博辅导
登录
注册
帖子
帖子
用户
本版
应《网络安全法》要求,自2017年10月1日起,未进行实名认证将不得使用互联网跟帖服务。为保障您的帐号能够正常使用,请尽快对帐号进行手机号验证,感谢您的理解与支持!
24小时热门版块排行榜
小木虫论坛-学术科研互动平台
»
化学化工区
»
电化学
»
电分析测试
»
硅负极材料的CV测试问题,泪奔。。。急求助!
6
1/1
返回列表
查看: 2039 | 回复: 5
只看楼主
@他人
存档
新回复提醒
(忽略)
收藏
在APP中查看
Suoyuhe
铜虫
(正式写手)
应助: 0
(幼儿园)
金币: 128.1
散金: 1556
红花: 9
沙发: 1
帖子: 739
在线: 82小时
虫号: 2486565
注册: 2013-05-29
性别: GG
专业: 无机非金属类电介质与电解
[
求助
]
硅负极材料的CV测试问题,泪奔。。。急求助!
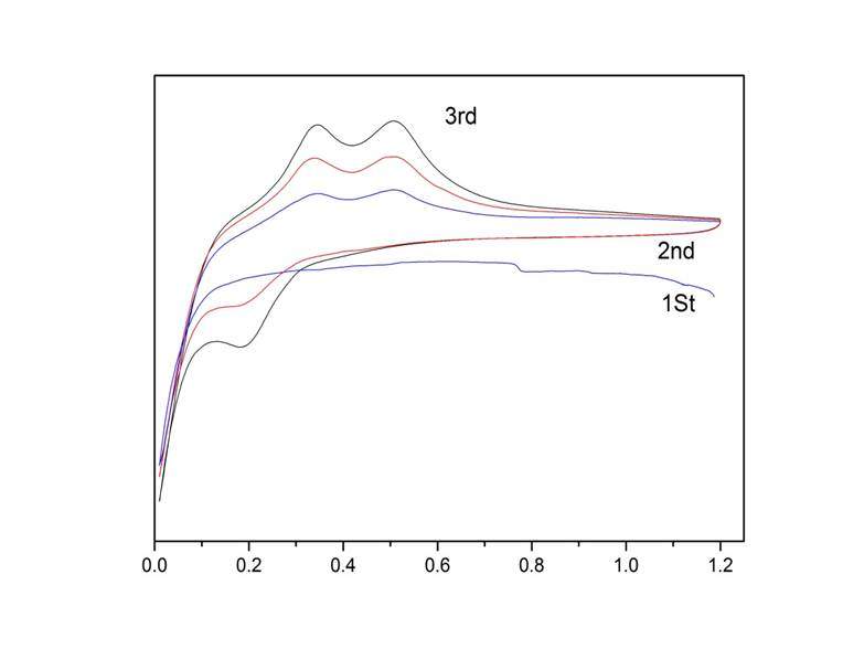
本人新手,没怎么学过电化学,而研究方向为锂离子电池硅负极材料,最近做了CV测试,首次伏安循环的时候出现了相交的情况,其他的样品也是,
好不容易组装的电池的。。。。我用的扫描电压范围是0.01-1.2V,扫面速率为0.05mv/s.
我想知道为什么我的会有这种状况产生啊?希望众多虫友给予指点和帮助哈!
下面是得到的CV曲线图:
图片1.jpg
图片2.jpg
回复此楼
» 猜你喜欢
Ni元素XPS分析
已经有1人回复
广东以色列理工材料系能源与电子材料课题组——博士(以色列理工学位)
已经有3人回复
物理化学论文润色/翻译怎么收费?
已经有235人回复
青岛大学化学化工学院分子测量学研究院2026年招收博士研究生
已经有0人回复
求一份origin2019以上版本的origin软件压缩包
已经有1人回复
电化学基础知识与资源网站
已经有3人回复
中国科大电池方向任晓迪课题组招收2026级博士生-电解液/电池安全性/人工智能方向
已经有19人回复
26年秋季博士申请
已经有0人回复
推荐给英语教学者的一本单词书《金鱼单词讲义:从26个拉丁字母到106万个英语单词》
已经有48人回复
推荐给教师的一本单词书《金鱼单词讲义:从26个拉丁字母到106万个英语单词》
已经有24人回复
» 本主题相关商家推荐:
(我也要在这里推广)
» 本主题相关价值贴推荐,对您同样有帮助:
CV测试求助,CV曲线点特别乱是怎么回事
已经有11人回复
CV测试时的问题,请各位大神进来看下帮帮我这个新手
已经有15人回复
CV作图求助,大神们,急急急求
已经有14人回复
超级电容器CV,GCD测试问题求助
已经有3人回复
拉伸强度测试cv%是什么意思,怎么算出来的?
已经有2人回复
急,审稿人的问题看不懂:%CV是什么意思?
已经有3人回复
求助氧化硅陶瓷XRD物相分析,急!
已经有3人回复
【求助】CV图上在-0.8V有很强的还原峰,可是为什么用DPV方法测试却峰值很小呢?
已经有8人回复
【求助】CV, DPV, impedence 这三种电化学测试手段有什么不同
已经有9人回复
【求助】CV测试,怎样使聚合物薄膜牢固地吸附在工作电极上?
已经有20人回复
【求助】请高手指教,有图求真相——Pt/C催化剂稳定性和CV曲线问题
已经有8人回复
1楼
2015-06-06 12:48:07
已阅
回复此楼
关注TA
给TA发消息
送TA红花
TA的回帖
applous
铜虫
(小有名气)
ECEPI: 1
应助: 1
(幼儿园)
金币: 4.6
散金: 88
红花: 2
帖子: 90
在线: 511.9小时
虫号: 337176
注册: 2007-04-02
性别: GG
专业: 海洋化学
这个实验现象是正常的,与硅负极后续的性能表现没有关系,我们测的硅负极稳定循环超过500圈,首次CV测试在这个电位方位也经常是相交的,没有关系的。你观察问题很细致,不过不用担心。我感觉这个CV测试比较异常的区域是在0.75-1.2V(首次),这里有几个不规则的电流峰,表明你的硅可能有杂质,或者氧化,或者与电解液有关,
赞
一下
回复此楼
» 本帖已获得的红花(最新10朵)
Suoyuhe
高级回复
保持愤怒
2楼
2015-06-06 14:33:10
已阅
回复此楼
关注TA
给TA发消息
送TA红花
TA的回帖
Suoyuhe
铜虫
(正式写手)
应助: 0
(幼儿园)
金币: 128.1
散金: 1556
红花: 9
沙发: 1
帖子: 739
在线: 82小时
虫号: 2486565
注册: 2013-05-29
性别: GG
专业: 无机非金属类电介质与电解
送红花一朵
引用回帖:
2楼
:
Originally posted by
applous
at 2015-06-06 14:33:10
这个实验现象是正常的,与硅负极后续的性能表现没有关系,我们测的硅负极稳定循环超过500圈,首次CV测试在这个电位方位也经常是相交的,没有关系的。你观察问题很细致,不过不用担心。我感觉这个CV测试比较异常的区 ...
非常感谢,我想问一下,如果0.75-1.2V这个位置出现了较好的峰,而低电位依然有相交现象,这样的数据可以直接用吗?比如放在文章中。。。还有,我用的电解液是EC:DEC,我看到有的用EC,DEC,DMC的配比等,这有区别吗?多谢了。。。。。
赞
一下
回复此楼
3楼
2015-06-06 21:28:52
已阅
回复此楼
关注TA
给TA发消息
送TA红花
TA的回帖
applous
铜虫
(小有名气)
ECEPI: 1
应助: 1
(幼儿园)
金币: 4.6
散金: 88
红花: 2
帖子: 90
在线: 511.9小时
虫号: 337176
注册: 2007-04-02
性别: GG
专业: 海洋化学
引用回帖:
3楼
:
Originally posted by
Suoyuhe
at 2015-06-06 21:28:52
非常感谢,我想问一下,如果0.75-1.2V这个位置出现了较好的峰,而低电位依然有相交现象,这样的数据可以直接用吗?比如放在文章中。。。还有,我用的电解液是EC:DEC,我看到有的用EC,DEC,DMC的配比等,这有区别 ...
1)你的CV图基本可以用的
2)电解液对硅负极的影响是很大的,不过针对你目前的实验结果,还没到能比较电解液影响的程度,先努力提高循环性能吧。
赞
一下
(1人)
回复此楼
保持愤怒
4楼
2015-06-06 23:03:57
已阅
回复此楼
关注TA
给TA发消息
送TA红花
TA的回帖
流水光年
金虫
(正式写手)
应助: 50
(小学生)
金币: 2598.6
散金: 35
红花: 3
帖子: 537
在线: 74.5小时
虫号: 2578971
注册: 2013-08-03
专业: 环境分析化学
引用回帖:
2楼
:
Originally posted by
applous
at 2015-06-06 14:33:10
这个实验现象是正常的,与硅负极后续的性能表现没有关系,我们测的硅负极稳定循环超过500圈,首次CV测试在这个电位方位也经常是相交的,没有关系的。你观察问题很细致,不过不用担心。我感觉这个CV测试比较异常的区 ...
请问下,第二次第三次都有对应的氧化还原峰,而,为什么第一圈只有氧化峰没有还原峰?我是不是可以理解为第一圈的反应机理和后面的不一样呢,谢谢指教!
赞
一下
回复此楼
没有最好,只有更好
5楼
2015-10-09 15:16:44
已阅
回复此楼
关注TA
给TA发消息
送TA红花
TA的回帖
黎晓振
新虫
(小有名气)
应助: 0
(幼儿园)
金币: 216.2
散金: 255
红花: 1
帖子: 167
在线: 33.7小时
虫号: 4816065
注册: 2016-07-04
专业: 电化学
内容已删除
回复此楼
6楼
2017-07-12 19:06:20
已阅
回复此楼
关注TA
给TA发消息
送TA红花
TA的回帖
相关版块跳转
有机交流
有机资源
高分子
无机/物化
分析
催化
工艺技术
化工设备
石油化工
精细化工
电化学
环境
SciFinder/Reaxys
我要订阅楼主
Suoyuhe
的主题更新
6
1/1
返回列表
如果回帖内容含有宣传信息,请如实选中。否则帐号将被全论坛禁言
普通表情
龙
兔
虎
猫
百度网盘
|
360云盘
|
千易网盘
|
华为网盘
在新窗口页面中打开自己喜欢的网盘网站,将文件上传后,然后将下载链接复制到帖子内容中就可以了。
信息提示
关闭
请填处理意见
关闭
确定