版块导航
正在加载中...
客户端APP下载
论文辅导
调剂小程序
登录
注册
帖子
帖子
用户
本版
应《网络安全法》要求,自2017年10月1日起,未进行实名认证将不得使用互联网跟帖服务。为保障您的帐号能够正常使用,请尽快对帐号进行手机号验证,感谢您的理解与支持!
24小时热门版块排行榜
>
论坛更新日志
(2172)
>
虫友互识
(197)
>
导师招生
(83)
>
硕博家园
(78)
>
考研
(54)
>
考博
(46)
>
文献求助
(40)
>
休闲灌水
(39)
>
博后之家
(26)
>
教师之家
(25)
>
公派出国
(25)
>
论文道贺祈福
(23)
>
基金申请
(23)
>
论文投稿
(21)
>
招聘信息布告栏
(19)
>
找工作
(18)
小木虫论坛-学术科研互动平台
»
化学化工区
»
电化学
»
电分析测试
»
LSV算电子数
1
1/1
返回列表
查看: 613 | 回复: 0
只看楼主
@他人
存档
新回复提醒
(忽略)
收藏
在APP中查看
桑树之泪
金虫
(著名写手)
应助: 2
(幼儿园)
金币: 12030.9
散金: 43
红花: 4
帖子: 2739
在线: 956.9小时
虫号: 2771367
注册: 2013-11-01
专业: 支原体、立克次体与衣原体
[
求助
]
LSV算电子数
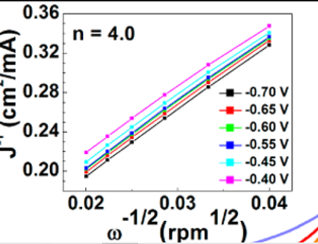
文献中斜率大概为6电子数目为4
而我的斜率6.35左右,算得却大于4,应该比它小
大家看下我算的过程看哪错,
B=1/6.35 *10=1.574=0.2*n*96485*1.21 *(1.87 × 10−9)^(2/3)*10
谢谢
文献的图.png
文献公式.png
自己的图.png
自己的直线斜率.png
回复此楼
» 猜你喜欢
德国Karlsruhe Institute of Technology招收电化学储能及联合培养CSC博士等
已经有20人回复
德国Karlsruhe Institute of Technology招收电化学储能及联合培养CSC博士
已经有24人回复
物理化学论文润色/翻译怎么收费?
已经有288人回复
德国Karlsruhe Institute of Technology招收电化学储能及联合培养CSC博士
已经有1人回复
固态锂金属电池迁移数计算求助
已经有1人回复
荷兰奈梅亨大学赵文博与Galimberti课题组招收理论计算CSC博士 2000 欧元/月+房补
已经有0人回复
26储能博士申请自荐
已经有23人回复
上海交通大学--宁波东方理工大学电池方向博士招生
已经有10人回复
海南大学全国重点实验室杨金霖老师招收储能电池方向博士生(2026年3月报名,9月入学)
已经有1人回复
海南师范大学2026年博士研究生招收 (在职想提升学历人员可报考) 申请考核制+普通招考
已经有1人回复
申博求助
已经有0人回复
1楼
2015-05-31 21:50:03
已阅
回复此楼
关注TA
给TA发消息
送TA红花
TA的回帖
智能机器人
Robot
(super robot)
我们都爱小木虫
找到一些相关的精华帖子,希望有用哦~
旋转圆盘电极及电化学工作站等
已经有5人回复
用旋转圆盘电极测转移电子数
已经有7人回复
ORR测试出现问题
已经有12人回复
关于旋转圆盘电极的一些疑惑
已经有5人回复
日本的RRDE-3A旋转圆盘电极装置怎么样,耐用吗?
已经有6人回复
旋转圆盘电极咨询?想买进口的旋转圆盘电极,但是目前资金不是特别的多?
已经有3人回复
燃料电池ORR催化剂研究的LSV测试后进行电子转移数目计算的问题
已经有38人回复
氧还原电子转移数
已经有25人回复
审稿人提了一个ORR分析的问题,不知道什么意思,求指导!解释清楚会再加分!!
已经有12人回复
求解答ORR LSV curve没有在低电压区域形成平台区
已经有8人回复
ORR请进,ORR求助
已经有14人回复
氧还原计算塔菲尔(Tafel)斜率,极限扩散电流是从LSV极化曲线上读出来吗?
已经有13人回复
燃料电池电子转移数计算
已经有12人回复
循环伏安曲线中峰电位和半峰电位之差怎么求,半峰电位怎么求
已经有8人回复
氧气还原旋转圆盘电极问题
已经有11人回复
循环伏安中峰位置为什么移动?谢谢
已经有14人回复
氢氧燃料电池阴极催化剂的循环伏安测试
已经有13人回复
这算可逆还是不可逆呢?
已经有6人回复
【求助】CV扫描速率与电化学反应速率的关系
已经有18人回复
点击这里搜索更多相关资源
科研从小木虫开始,人人为我,我为人人
相关版块跳转
有机交流
有机资源
高分子
无机/物化
分析
催化
工艺技术
化工设备
石油化工
精细化工
电化学
环境
SciFinder/Reaxys
我要订阅楼主
桑树之泪
的主题更新
1
1/1
返回列表
如果回帖内容含有宣传信息,请如实选中。否则帐号将被全论坛禁言
普通表情
龙
兔
虎
猫
百度网盘
|
360云盘
|
千易网盘
|
华为网盘
在新窗口页面中打开自己喜欢的网盘网站,将文件上传后,然后将下载链接复制到帖子内容中就可以了。
信息提示
关闭
请填处理意见
关闭
确定