| 查看: 1848 | 回复: 8 | |
[求助]
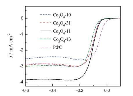
求解答ORR LSV curve没有在低电压区域形成平台区 已有2人参与
|
|
|
|
|
shijunhenu金虫 (小有名气)
|
|
|
2楼2014-02-13 09:59:38
|
|
|
3楼2014-02-13 22:58:04
|
|
|
4楼2014-02-13 22:59:14
|
|
![]() |
|
|
5楼2014-02-20 16:17:20
|
|
![]() |
|
|
6楼2014-02-20 16:19:31
|
|
shijunhenu金虫 (小有名气)
|
|
|
7楼2014-02-22 22:42:46
|
|
|
8楼2014-03-01 00:07:44
|
|
tb381041232铜虫 (小有名气)
|
|
|
9楼2014-08-17 16:44:58
|
|














回复此楼

